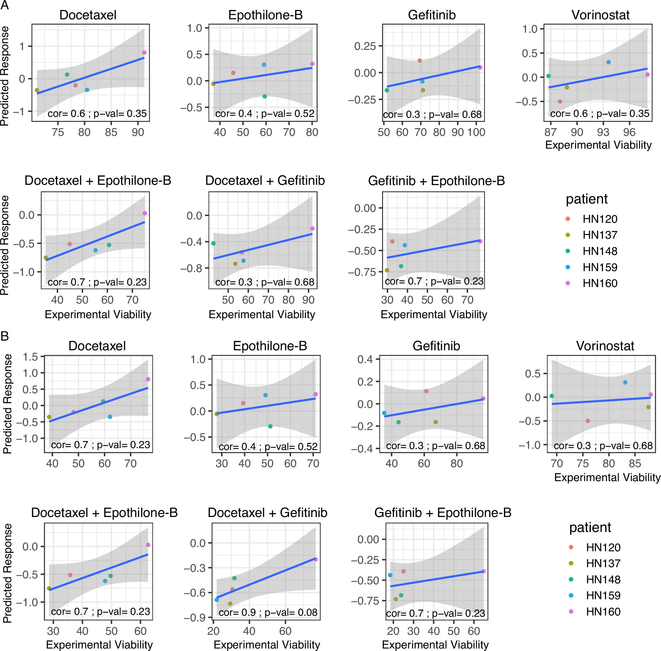
Extended Data Fig. 5: The predicted vs. experimental correlations obtained for individual treatments.

Each scatter plot compares the experimentally observed cell viability (x-axis; at median IC50 concentration) to the predicted viability (y-axis; rescaled AUC value) for the four drugs docetaxel, epothilone-b, gefitinib, and vorinostat (top four) and the pairwise combinations among {docetaxel, epothilone-b, gefitinib} (bottom three). Each dot represents the response of patient-derived cell lines (N = 5, color coded) for the drugs they were screened with. The Spearman rank correlation (cor) is provided at the bottom of each plot. These plots are provided for the following treatment concentrations - A) median IC50 B) one-third of median IC50. The error bands in all panels of this figure show 95% confidence interval of the fit.