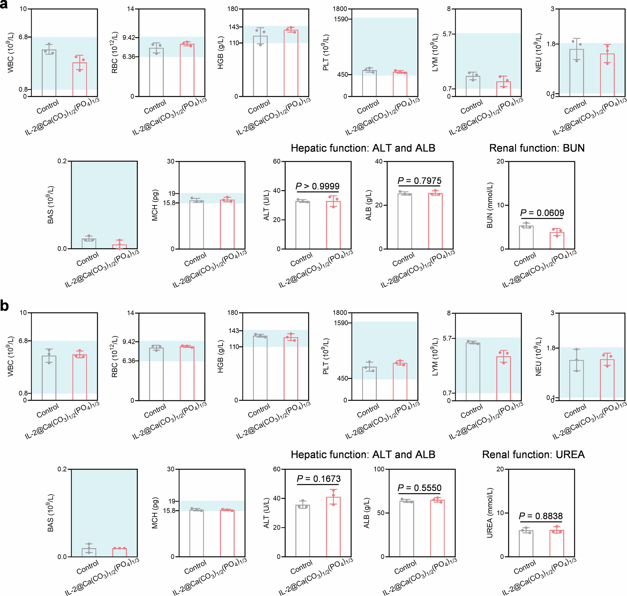
Extended Data Fig. 9: Long-term biosafety assessment of IL-2@Ca(CO3)1/2(PO4)1/3 tablet.
From: Long-acting IL-2 release from pressure-fused biomineral tablets promotes antitumor immune response

a, Blood routine and serum biochemistry analysis of mice subcutaneously implanted with IL-2@Ca(CO3)1/2(PO4)1/3 tablet for three months; n = 3 mice in each group. Light blue area indicated the normal reference range of blood routine data. b, Blood routine and serum biochemistry analysis of mice implanted with IL-2@Ca(CO3)1/2(PO4)1/3 tablet under pancreatic capsule fixed by biocompatible 3 M BioGlue for three months; n = 3 mice in each group. Light blue area indicated the normal reference range of blood routine data. Statistical significance was calculated via two-tailed unpaired t-test. Data are presented as mean ± s.d.