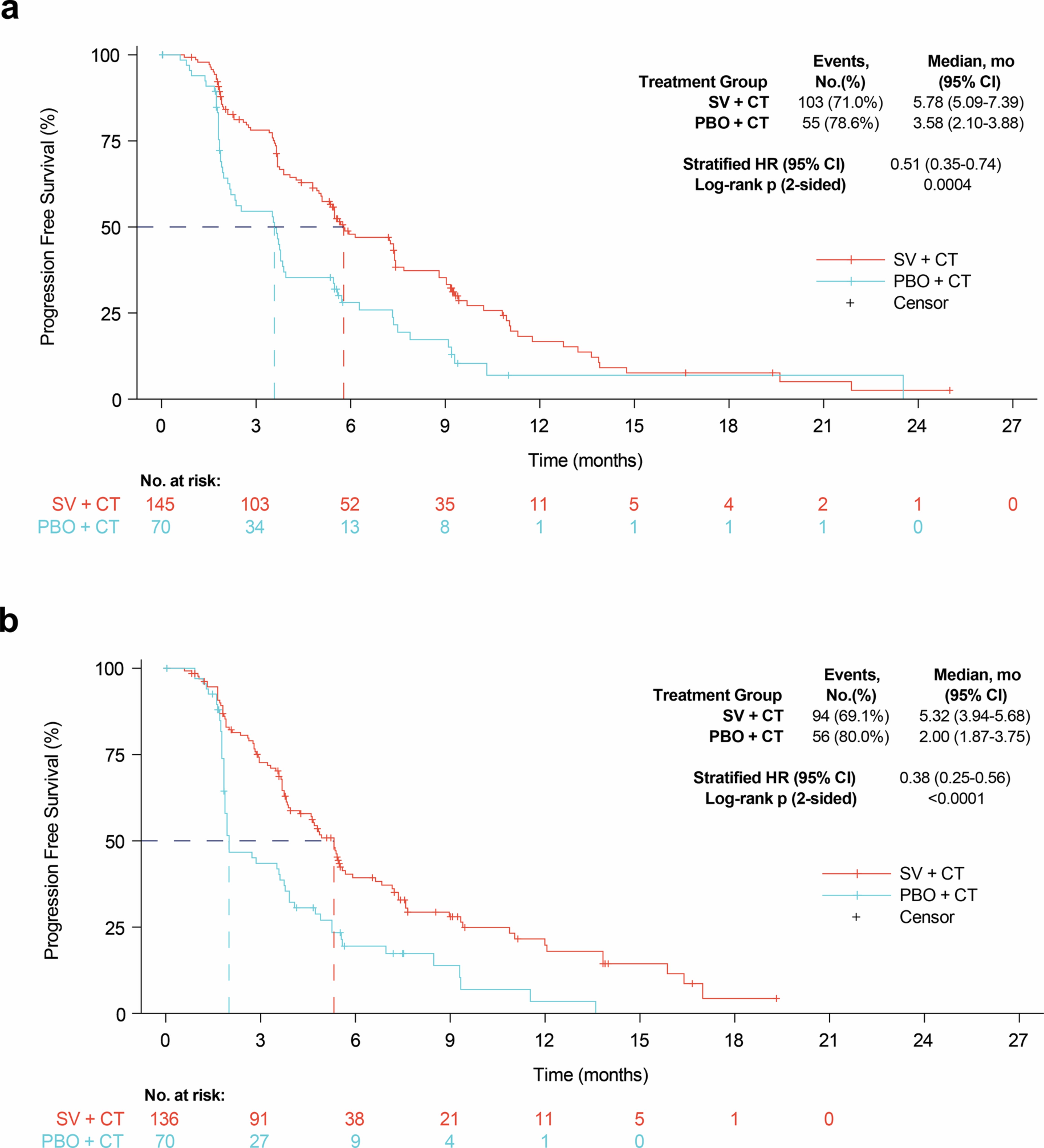
Extended Data Fig. 1: Subgroup analyses of progression-free survival based on prior exposure to PARP inhibitors.

a, patients who were PARP inhibitor naïve. Number of patients: 145 and 70 in the suvemcitug and placebo groups, respectively. P = 0.0004. b, patients who had received prior PARP inhibitor therapy. Number of patients: 136 and 70 in the suvemcitug and placebo groups, respectively. P < 0.0001.