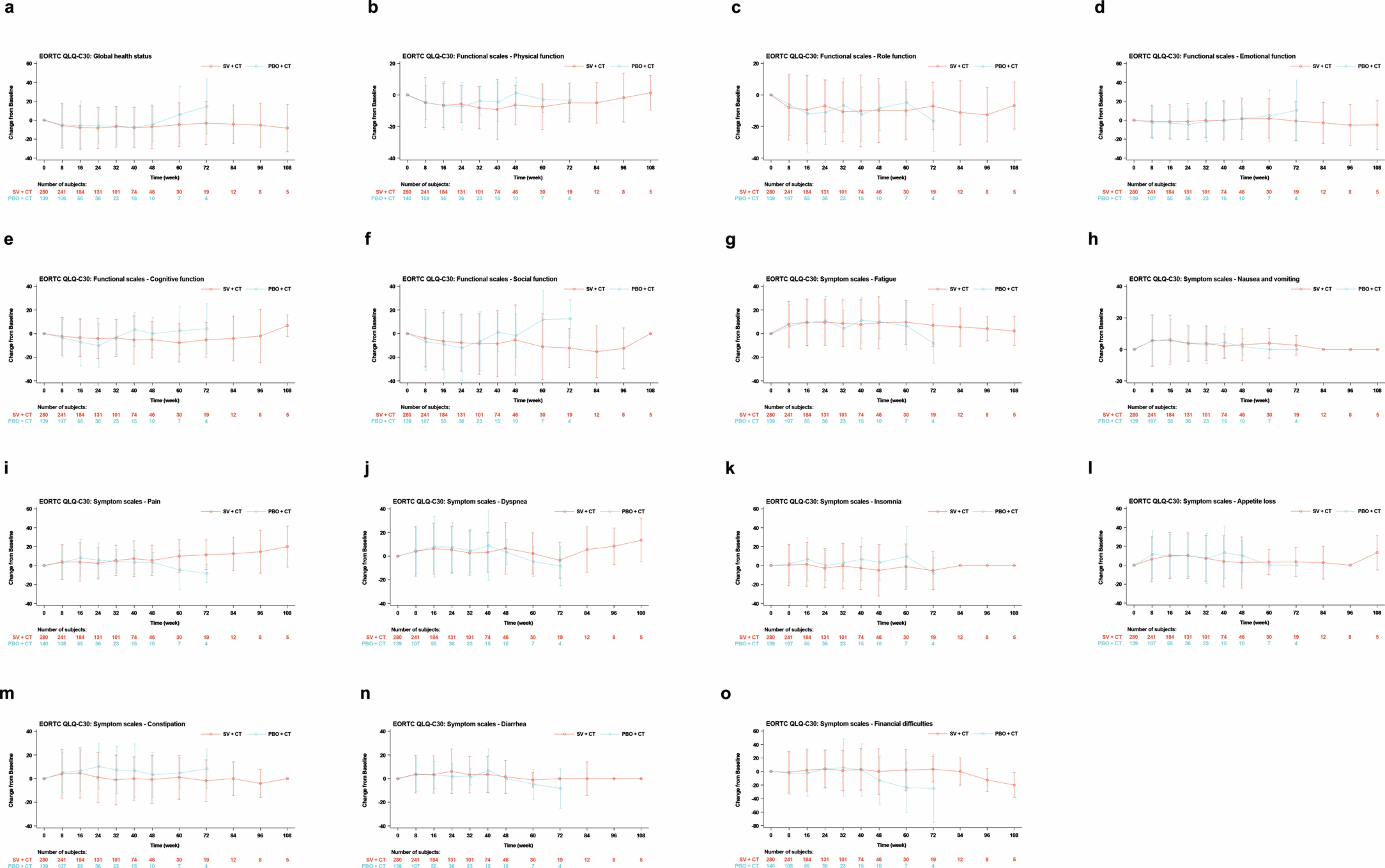
Extended Data Fig. 3: EORTC QLQ-C30 change from baseline over time.

a, global health scale, functional scales. b, physical function. c, role function. d, emotional function. e, cognitive function. f, social function and symptom scales. g, fatigue. h. nausea and vomiting. i, pain. j, dyspnea. k, insomnia. l, appetite loss. m, constipation. n, diarrhea. o, financial difficulties. Scores range from 0 to 100; a higher score represents higher (‘better’) global health status/overall quality of life and function or symptoms. EORTC, European Organization for Research and Treatment of Cancer; GHS, global health scale; QLQ-C30, Quality of Life Core 30 questionnaire; QoL, quality of life; SE, standard error; PBO + CT, placebo plus chemotherapy; SV + CT, suvemcitug plus chemotherapy.