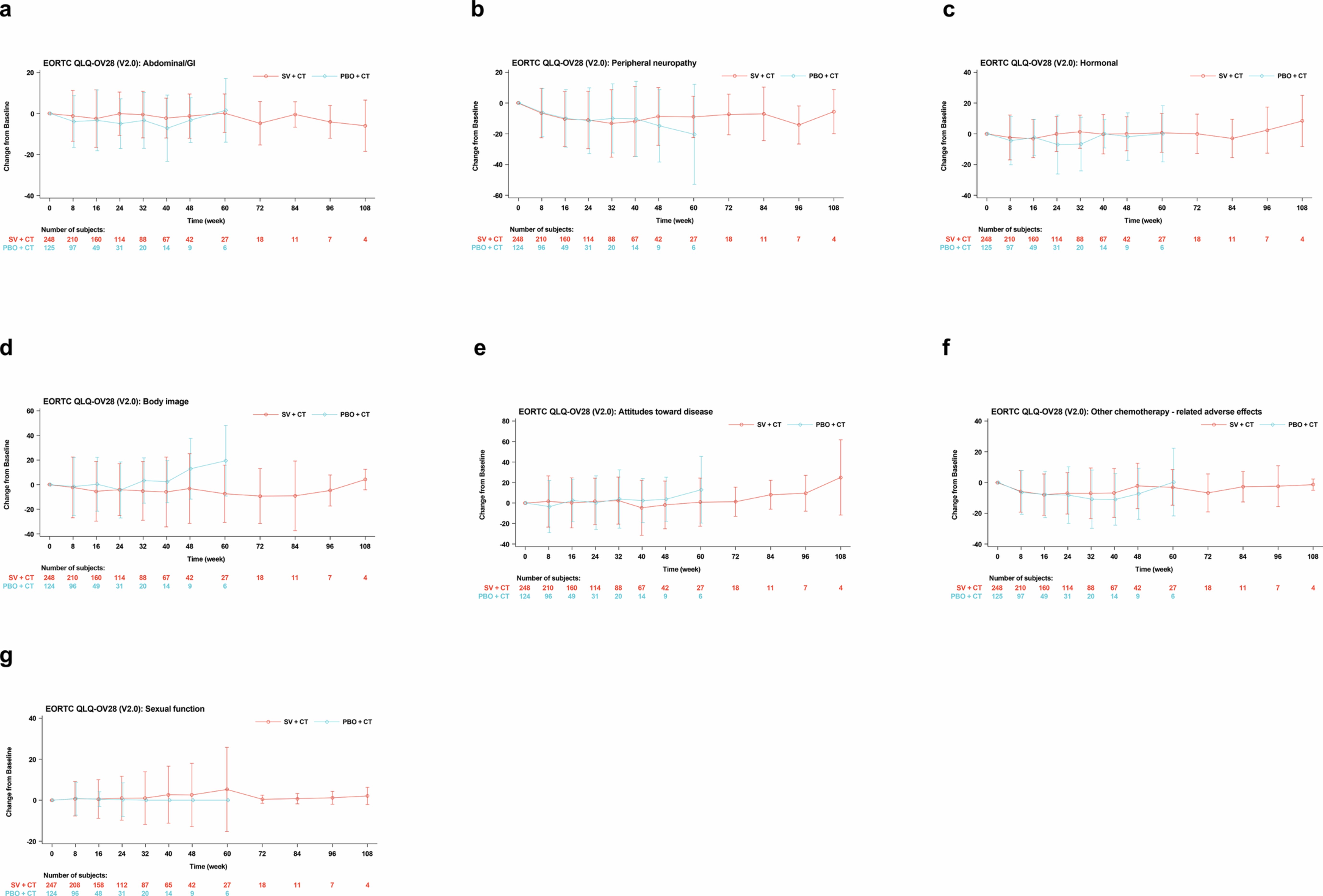
Extended Data Fig. 4: Mean changes in EORTC QLQ Ovarian Cancer Module (EORTC QLQ-OV28) QoL parameters.

a, QLQ-OV28 abdominal/gastrointestinal symptoms. b, peripheral neuropathy. c, hormonal. d, body image. e, attitudes toward disease. f, other chemotherapy-related adverse effects. g, sexual function. Scores range from 0 to 100; a higher score represents better function or symptoms. EORTC, European Organization for Research and Treatment of Cancer; QoL, quality of life; SE, standard error; PBO + CT, placebo plus chemotherapy; SV + CT, suvemcitug plus chemotherapy.