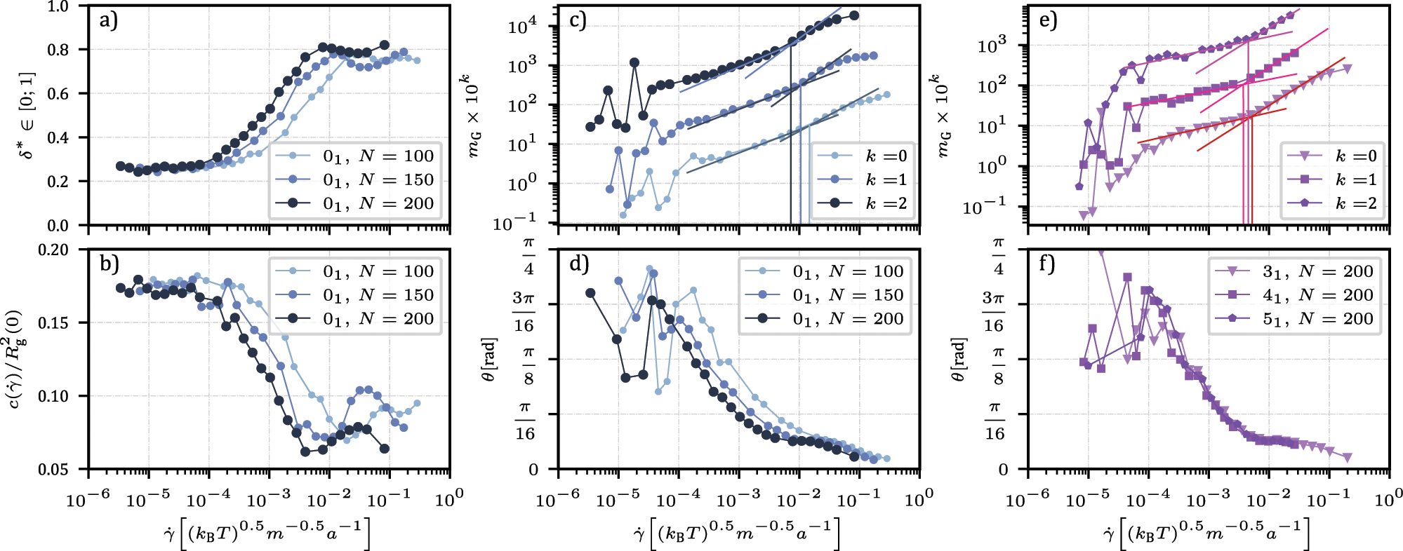
Fig. 2: Shape and orientation of knotted and unknotted ring polymers under increasing shear rate.

a Anisotropy δ*. b Acylindricity \(c(\dot{\gamma })\) scaled over the squared gyration radius at \(\dot{\gamma }=0\). c Orientational resistance mG for three different 01 rings, as denoted in the label of panel d. The vertical lines denote crossovers from the tumbling regime at the lower values of \(\dot{\gamma }\) to the inflation regime at higher ones. The straight lines on the left of the crossover have slope 0.6 and the ones on the right have slope 0.85 for N = 100 and unity for N = 150 and N =  200. Curves have been multiplied by constants, providing vertical shifts as indicated in the label. d Alignment angle θ between the eigenvector corresponding to the largest eigenvalue of the gyration tensor and the flow axis for the three 01 rings. e Orientational resistance mG for three different knotted rings of topologies as denoted in the label of panel f. The straight lines on the left of the crossover points have slope 0.6, and the ones on the right have slope unity. The curves have been multiplied by constants, whose values are given in the label, for visual clarity. f Same as panel d, but for the three knotted rings whose characteristics are summarised in the label.