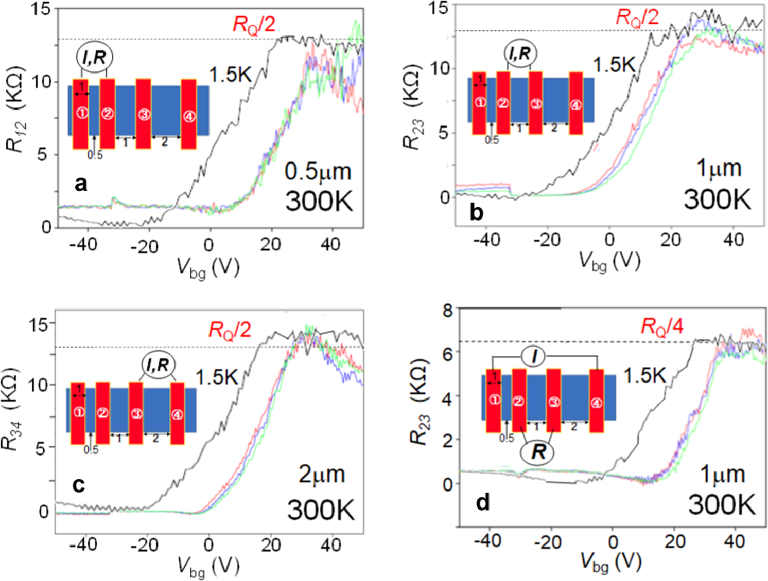
Fig. 2: Room-temperature resistance near RQ/2 and RQ/4.
From: Room-temperature quantum spin Hall phase in laser-patterned few-layer 1T′- MoS2

a–c Two- and d Four-probe resistance (R) measurements as a function of back-gate voltage (Vbg) for the device shown at the bottom of Fig. 1g under a constant current of 1 μA. The low contact resistance at the metal electrodes/the 1T′ region interface is subtracted. Different colors of the three curves represent different measurements over time. Dotted lines correspond to RQ/2 and RQ/4, respectively. Black curves are the results measured at 1.5 K. Insets: schematic views of the electrode probe arrangement (red areas) on the 1T′ region (in blue, corresponding to the part indicated by an arrow in Fig. 1g) with inter-probe (channel) distance expressed in μm. Peaks or plateau-like features with values ∼RQ/2 appear in all the two-probe measurements (Fig. 2a–c), which is consistent with a previous report of quantum spin Hall (QSH) phase in a short-channel monolayer of WTe2. This result is further confirmed in Fig. 2d with a value of RQ/4, which has been reported in QSH phase for the H-letter like patterns using four electrode probes on HgTe/(Hg, Cd)Te quantum wells, our Bi2Te3-nanoparticle decorated graphene, and in our previous high-power laser-irradiated thin 1T′ MoS2. A straightforward calculation based on the Landauer-Büttiker formalism for Fig. 2d reconfirms presence of the QSH phase.