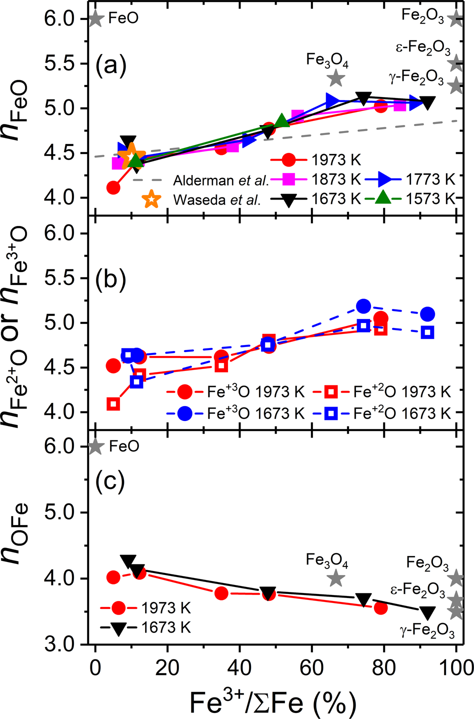
Fig. 3: Coordination numbers from the empirical potential structure refinement fits.

a Average Fe-O coordination number nFeO in molten FeOx at 1973 K, 1873 K, 1773 K, 1673 K, and 1573 K (colored symbols) from our EPSR models, as a function of Fe3+/ΣFe. nFeO was determined by the average of three cut-off criteria. The solid gray stars represent crystalline iron oxides. nFeO obtained by reanalyzing Waseda’s data10 is shown as the open orange star. nFeO in molten Fe2SiO4+x25 is indicated by the dashed line, as derived from peak fitting to X-ray diffraction data, which may lead to a smaller effective radial cut-off than used herein. b Average nFe2+O (open squares) and nFe3+O (solid circles) in molten FeOx at 1973 K (red) and 1673 K (blue). c Average O-Fe coordination number nOFe in molten FeOx at 1973 K (red circles) and 1673 K (black triangles) from our EPSR models. The estimated error bars are ±10 Fe3+/ΣFe (%) and ±0.25 on the nFeO or ±0.25(cFe/cO) for nOFe.