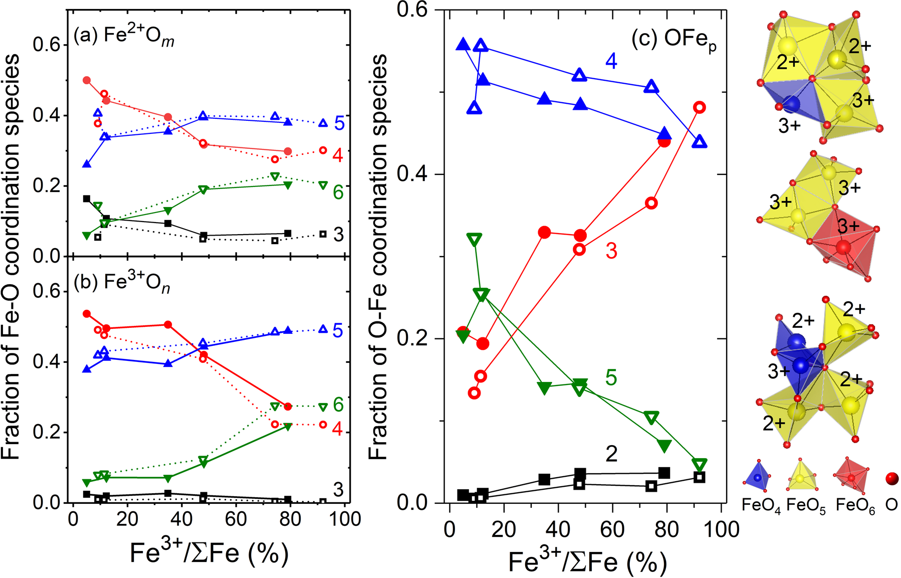
Fig. 4: The distribution of polyhedra in our EPSR models.

a Fe2+Om b Fe3+On units (where m, n = 3, 4, 5, 6) and c OFep units (where p = 2, 3, 4, 5) from EPSR models at 1973 K (solid symbols) and 1673 K (open symbols), as a function of Fe3+/ΣFe (%) (Calculated using equation 12 of ref. 35). nFeO and nOFe were determined by the average of the three cut-off criteria. The clusters on the right correspond to representative OFe4, OFe3, and OFe5 units taken from the EPSR models.