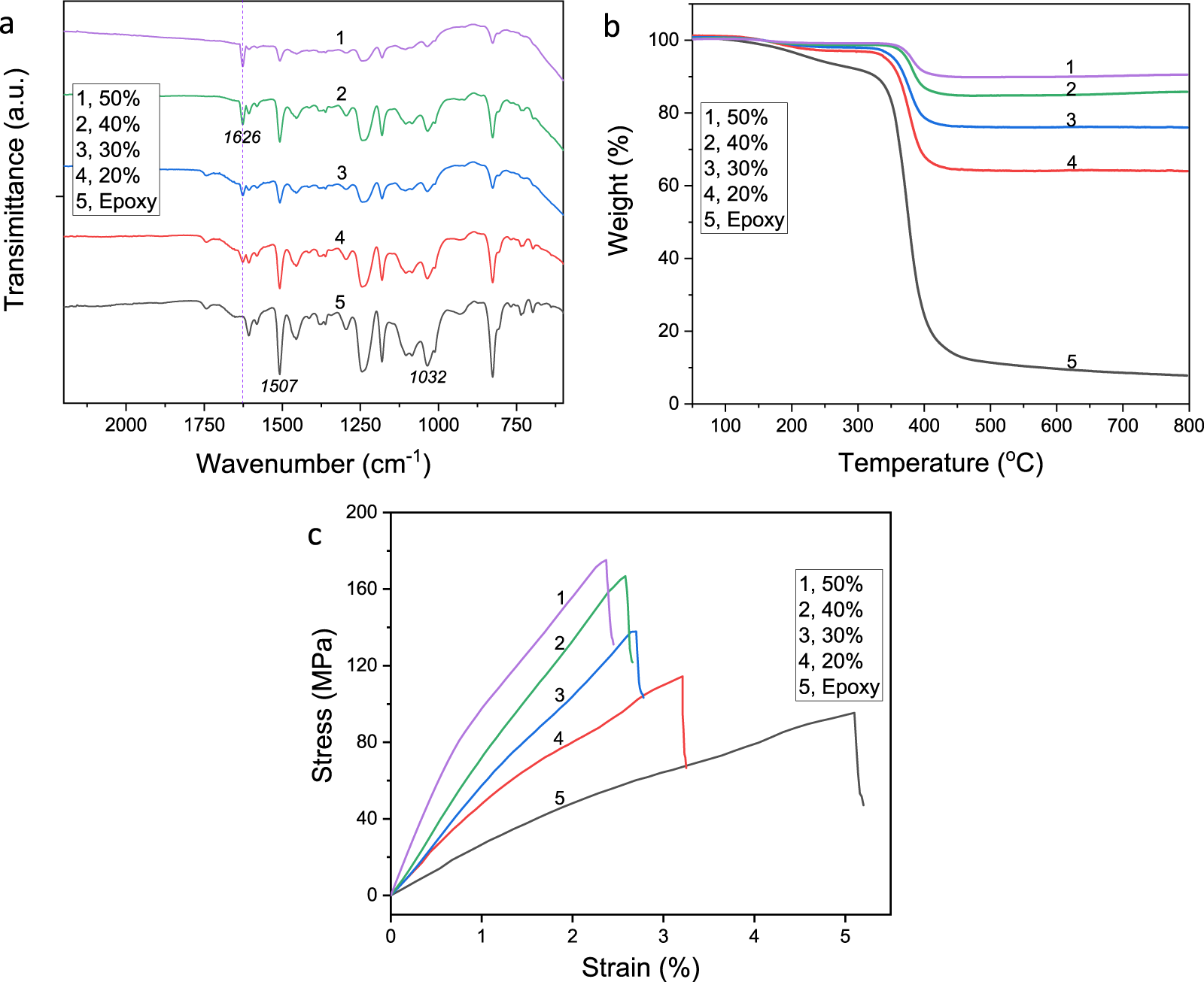
Fig. 4: Compositional, thermal, and mechanical properties of epoxy/BT sponge composites.
From: Enhanced dielectric constant and energy density in a BaTiO3/polymer-matrix composite sponge

a FTIR of epoxy/BT sponge composites with various BT loadings. b TGA patterns in air of epoxy/BT sponge composites with various BT loadings. c Stress versus strain behavious of epoxy/BT sponge composites with various BT loadings.