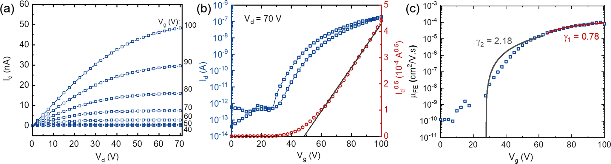
Fig. 2: Performance of ultrathin TiOx TFT and μFE.
From: Large mobility modulation in ultrathin amorphous titanium oxide transistors

Electrical characteristics of the TiOx TFT (W/L = 500 μm/5 μm) fabricated using ultrathin TiOx film annealed in forming gas (15 min at 400 °C followed by 15 min at 600 °C). a Output characteristics depicting linear-ohmic behavior at low Vd evolving into hard saturation at high Vd; b Transfer characteristics at Vd = 70 V showing high on–off ratio (~6 decades), Von of ~24.6 V, and Vth of ~48.5 V; c Vg-dependent µFE with power law fitting for Vg > 60 V and Vg < 60 V, respectively. The exponent value of 0.78 for Vg > 60 V corresponds to the TLC, whereas the value of 2.18 for Vg < 60 V suggests VRH transport.