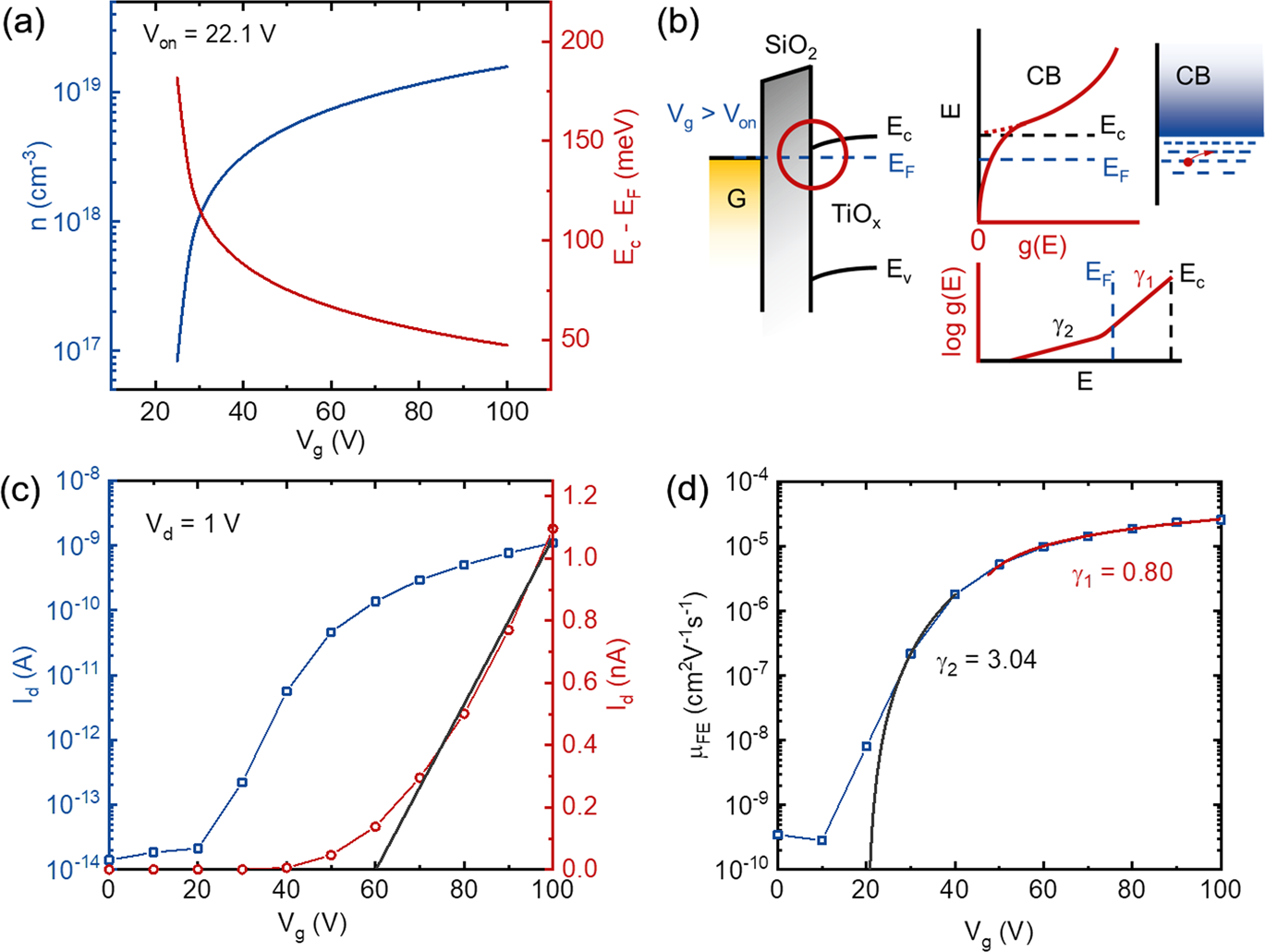
Fig. 5: Bi-exponential density of states and VRH transport.
From: Large mobility modulation in ultrathin amorphous titanium oxide transistors

a Variation in n (blue line) and the position of EF compared with Ec with respect to the Vg (red line) changed above Von. b Schematic showing transistor band diagram across the gate-insulator-semiconductor stack (left); more details of the area marked by a red circle (top-middle) showing the electron energy (E) vs. density of states (g), where CB denotes the conduction band with characteristic parabolic g(E); bi-exponential variation of density of states (g(E)) with energy near Ec (bottom-middle); EF is inside the band-tail and moving closer to Ec when Vg > Von, thus supporting the charge (red dot) conduction via hopping through the localized states (indicated by the red arrow) depicting VRH phenomena (right). c Linear-regime transfer characteristics extracted from the output characteristics of ultrathin TiOx TFT prepared by forming-gas annealing. d Corresponding linear mobility variation with gate voltage with the power-law exponent for VRH regime at low Vg exhibiting the value of 3.04 and the TLC transport regime at high Vg exhibiting the value of 0.8.