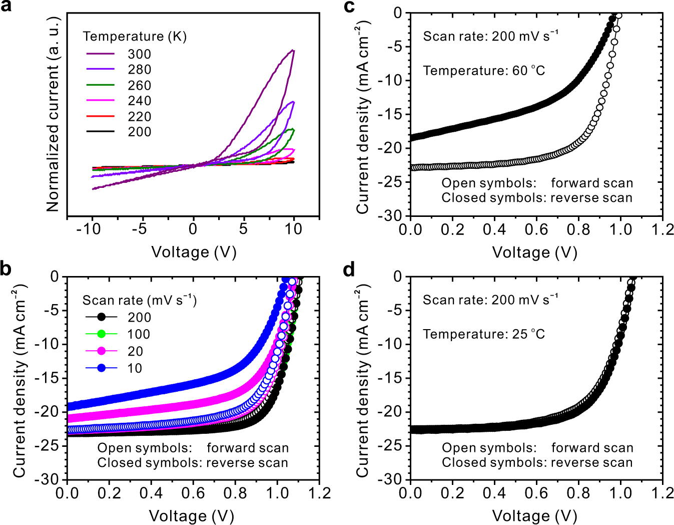
Fig. 1: Indication of ion migration in perovskite films and perovskite solar cells.
From: Hysteresis-less and stable perovskite solar cells with a self-assembled monolayer

a Temperature-dependent conductivity measurements in a lateral structured perovskite film. b Scan-rate-dependent current density–voltage curves of perovskite solar cells. c, d Effect of temperature on the hysteresis of perovskite solar cells at a fast scan rate of 200 mV s‒1. Current density–voltage curves measured at 60 °C (c) and after cooling to room temperature (d).