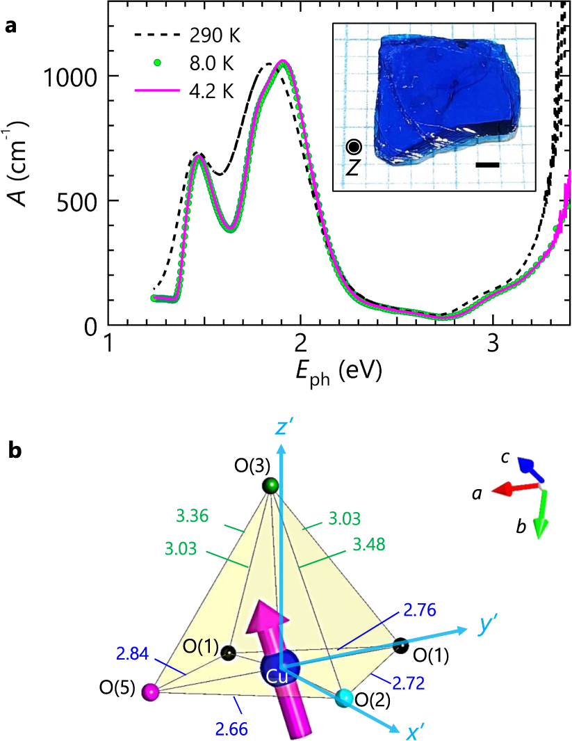
Fig. 3: Optical absorption spectra and local environment of the Cu2+ ion.
From: Imaging switchable magnetoelectric quadrupole domains via nonreciprocal linear dichroism

a Absorption spectra of a Pb(TiO)Cu4(PO4)4 crystal in the photon energy range 1.2 < Eph < 3.4 eV taken at room temperature (black dashed line), 8.0 K (>TN) (green circles), and 4.2 K (<TN) (magenta solid line). The light is unpolarized and propagates along the Z axis of the crystal. The transparent gap of 2.4–3.2 eV is consistent with the blue color of the crystal whose photo is shown in the inset (scale bar, 1 mm). b Distorted CuO5 square pyramid. The site symmetry of the Cu2+ ion is 1. The numbers denote the Cu–O and O–O bond distances in unit of Å. x′, y′, and z′ denote local coordinate axes.