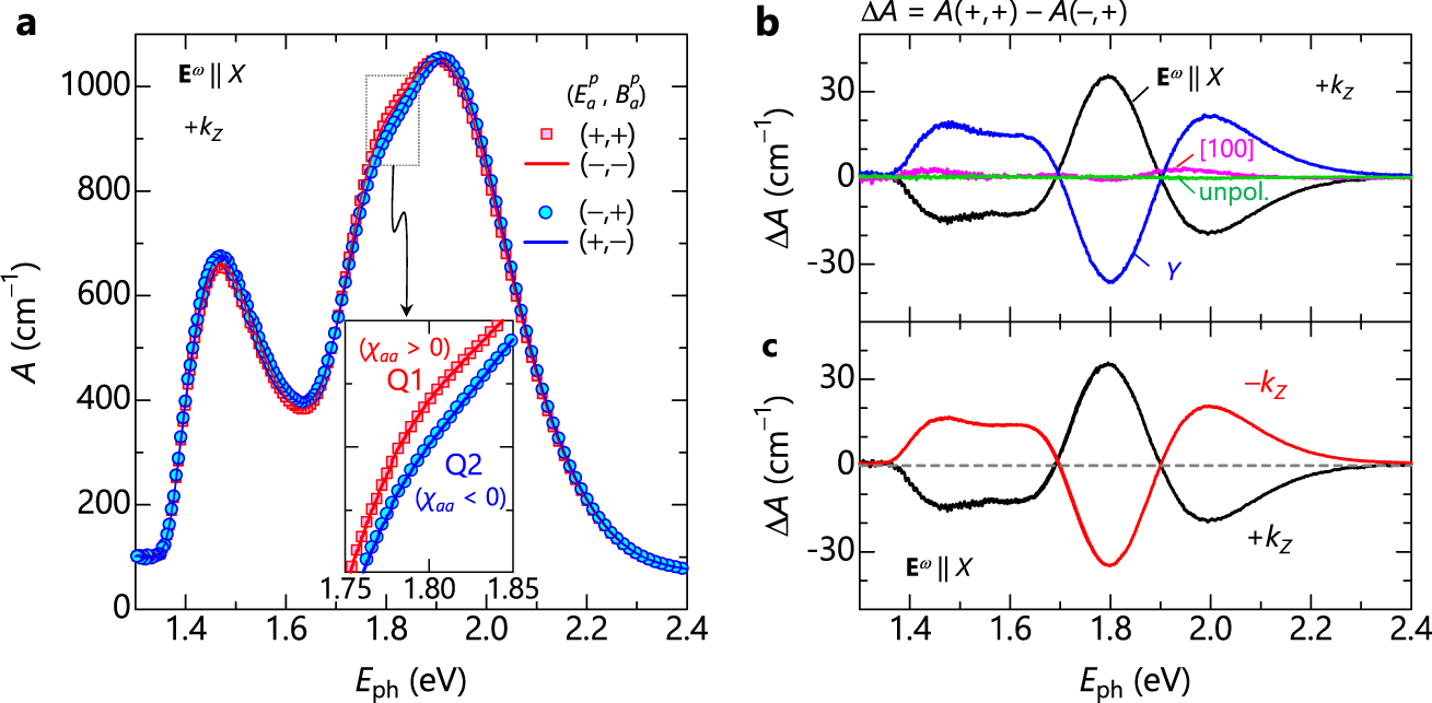
Fig. 4: Evidence for nonreciprocal linear dichroism.
From: Imaging switchable magnetoelectric quadrupole domains via nonreciprocal linear dichroism

a Absorption coefficient (A) spectra at 4.2 K for X-polarized light propagating along the +Z direction, after cooling with four different sign combinations of poling fields (\(E_a^p\), \(B_a^p\)). The poling fields are removed before each measurement. The inset of a displays the magnified view in the 1.75–1.85 eV region. b Subtracted absorption spectra ∆A = A(+, +) − A(−, +) for X-, Y -, [100]-polarized, and unpolarized light. c ∆A spectra for X-polarized light propagating along the −Z direction, together with that along +Z for comparison.