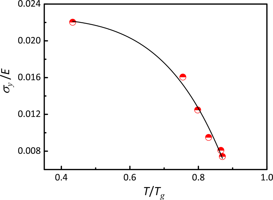
Fig. 6: The relation of specimen temperature T vs. yield strength σy for the Zr55Cu30Al10Ni5 (Zr55) bulk metallic glass (BMG).

The data are fitted to the power law: σy ~(T/Tg)n, suggesting n ∼5.2. E is the Young’s modulus. Tg is the glass transition temperature.