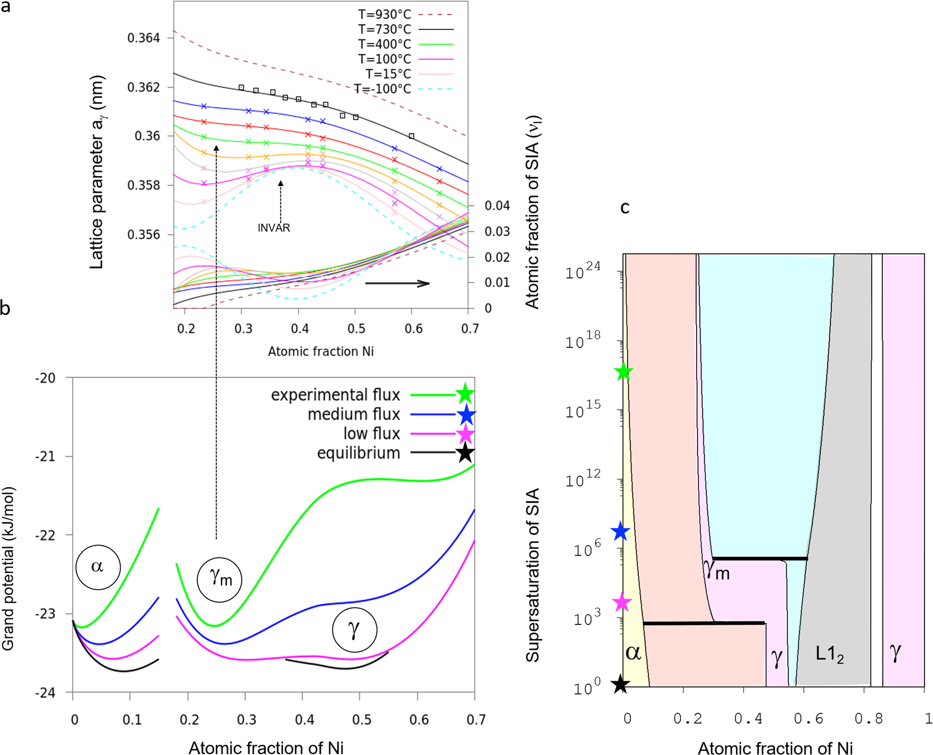
Fig. 5: The formation of the metastable phase γm stems from the nonlinear variation of its lattice parameter vs. Ni composition.
From: Thermodynamic model for lattice point defect-mediated semi-coherent precipitation in alloys

a Lattice parameter aγ of phase γ and related atomic fractions of SIAs, νI, deduced from aγ and the bcc lattice parameter of phase α at \({c}_{{\rm{Ni}}}^{\alpha }=0.01\), with respect to the atomic fraction of Ni and temperature. Fifth order polynomial interpolation of the X-Ray experimental lattice parameter of phase γ at T = 15, 100, 200, 300, 400, 500, 600, 730 °C (crosses are extracted from ref. 17 and squares from ref. 47). Dashed lines are obtained from a linear extrapolation of the polynomial coefficients between the two previous temperatures. Based on experimental X-ray data48, we assume the lattice parameter of the L12 ordered phase is the γ one. Composition interpolation of the X-ray bcc lattice parameter49 of phase α, aα, is adjusted on a second-order polynomial, aα(T = 300 K)\({\,}=0.286654+0.007055{c}_{{\rm{Ni}}}^{\alpha }-0.0359296{({c}_{{\rm{Ni}}}^{\alpha })}^{2}\). Its temperature variation is deduced from an average thermal expansion coefficient19, α = 12 × 106 K−1. b Gibbs-associated grand potential with respect to the atomic fraction of Ni at T = 400 °C, at various supersaturation of SIAs, \(s={c}_{{\rm{I}}}/{c}_{{\rm{I}}}^{{\rm{eq,}}\alpha }\): s = 1018 (in green, corresponding to the averaged experimental radiation flux), s = 108 (in blue), s = 104 (in magenta). The metastable phase γm associated with a local minimum of the grand potential comes from the local minimum of aγ just below the INVAR composition. c Ternary phase diagram representing the phase boundary limits with respect to the atomic fraction of Ni and the supersaturation of SIA at T = 400 °C. Since the atomic fraction of SIAs is very small, we directly deduce the atomic fraction of Fe \(({c}_{{\rm{Fe}}}^{\alpha }\approx 1-{c}_{{\rm{Ni}}}^{\alpha })\). Thick black lines indicate three-phase constrained equilibria and colored stars are the supersaturations used in panel (b).