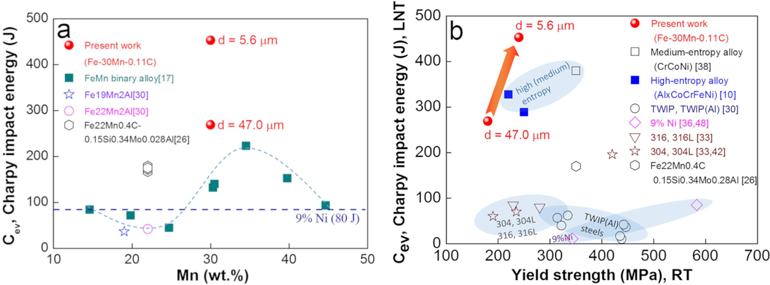
Fig. 5: Comparison with various cryogenic metals.

a Comparison of Charpy impact toughness with different manganese steels at LNT; the horizontal blue line shows the GB 24510-2009 standard of 9% Ni for plate of thickness ≤ 30 mm. b Charpy impact energy at LNT as a function of RT yield strength. The grain sizes for the samples referenced in b are all in the range of 7.5–50 µm.