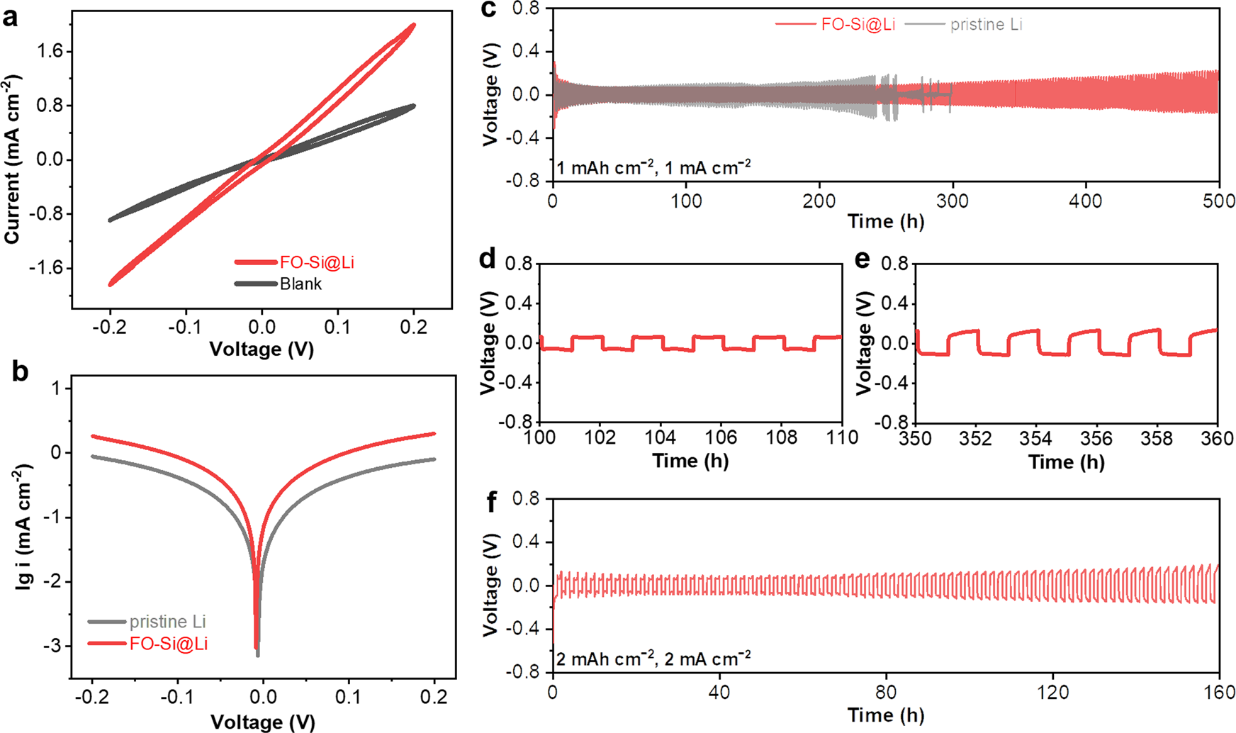
Fig. 3: Electrochemical stability of LMA with jigsaw-like SEI.
From: A jigsaw-structured artificial solid electrolyte interphase for high-voltage lithium metal batteries

a Cyclic voltammetry curves and b the corresponding Tafel plots of Li||Li symmetric cell measured at a scan rate of 1.0 mV s−1 between −0.2 and 0.2 V. c Long-term cycling of Li||Li symmetric cells at 1 mA cm−2 with a capacity of 1 mAh cm−2. The enlarged voltage profiles of the d 100th−110th and e 350th−360th hours of Li||Li symmetrical cells at 1 mA cm−2 with a capacity of 1 mAh cm−2. f Long-term cycling of Li||Li symmetric cell using FO–Si@Li at 2 mA cm−2 with a capacity of 2 mAh cm−2.