Fig. 21: Drive-level capacitance profiling measurements for spatial and energetic distribution of trap states in MAPbI3 perovskites.
From: Advanced spectroscopic techniques for characterizing defects in perovskite solar cells

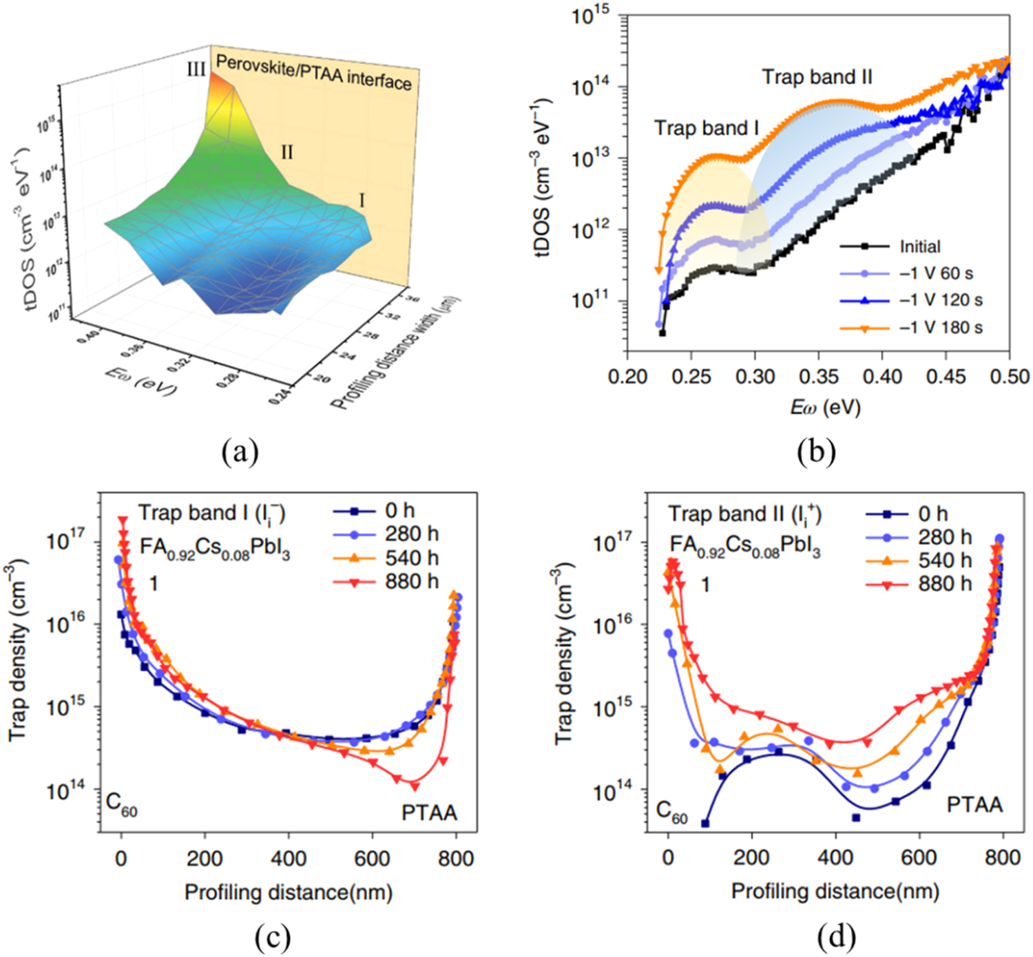
a Mapped image of spatial and energetic distributions of densities of trap states in the MAPbI3 single crystal, acquired using DLCP technique. Reproduced with permission from ref. 8, copyright (American Association for the Advancement of Science, 2020). b tDOS spectra of a MAPbI3 thin single-crystal device before and after applying a reverse bias of −1 V for different time durations. Spatial duration of the trap densities of c trap band I and d trap band II in the FA0.92Cs0.08PbI3 device after being illuminated at Voc condition for different duration of time. Reproduced with permission from ref. 131, copyright (American Association for the Advancement of Science, 2022).