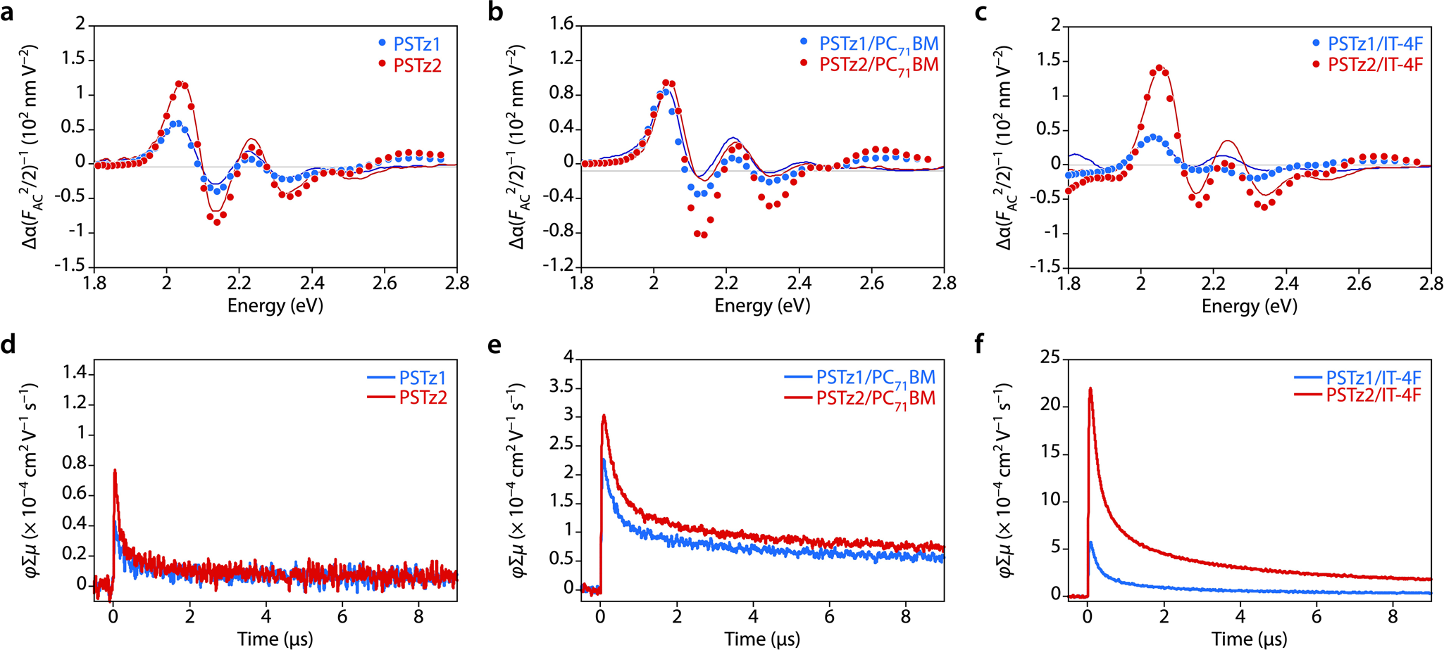
Fig. 6: Exciton and charge delocalization and local charge transport.

a–c Electroabsorption spectra and d–f laser-flash TRMC kinetic traces. a, d polymer neat films, b, e polymer/PC71BM blend films, and c, f polymer/IT-4F blend films.

a–c Electroabsorption spectra and d–f laser-flash TRMC kinetic traces. a, d polymer neat films, b, e polymer/PC71BM blend films, and c, f polymer/IT-4F blend films.