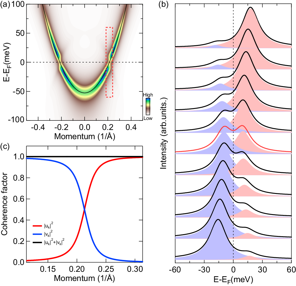
Fig. 1: Simulation of BCS superconducting state.

a Intensity plot of the simulated spectral function \({{{{{\rm{A}}}}}}({{{{{\bf{k}}}}}},{{{{{\rm{\omega }}}}}})\). b EDCs extracted from the red-boxed area in (a). c Coherence factors as a function of momentum in the red-boxed area in (a). A bare band extracted from the normal state of the 1UC FeSe/STO film is used for the simulation, which is shown by the black line in (a). A superconducting gap of 10 meV is considered in the simulation.