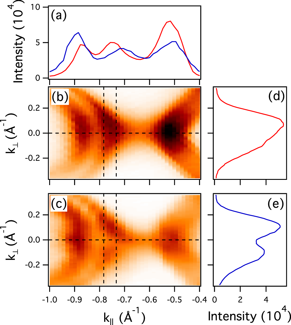
Fig. 2: Differences between the NS and CDW FSs.
From: Charge density waves and the effects of uniaxial strain on the electronic structure of 2H-NbSe2

a Momentum distribution curves (MDCs) along the Γ-K line of 2H-NbSe2 in the NS (T = 35 K, red) and CDW (T = 18 K, blue) state, respectively. b FS near the Γ-K line in the NS. c The same as (b), but in the CDW state. d, e MDC from the region marked by the two dashed lines in (b) and (c).