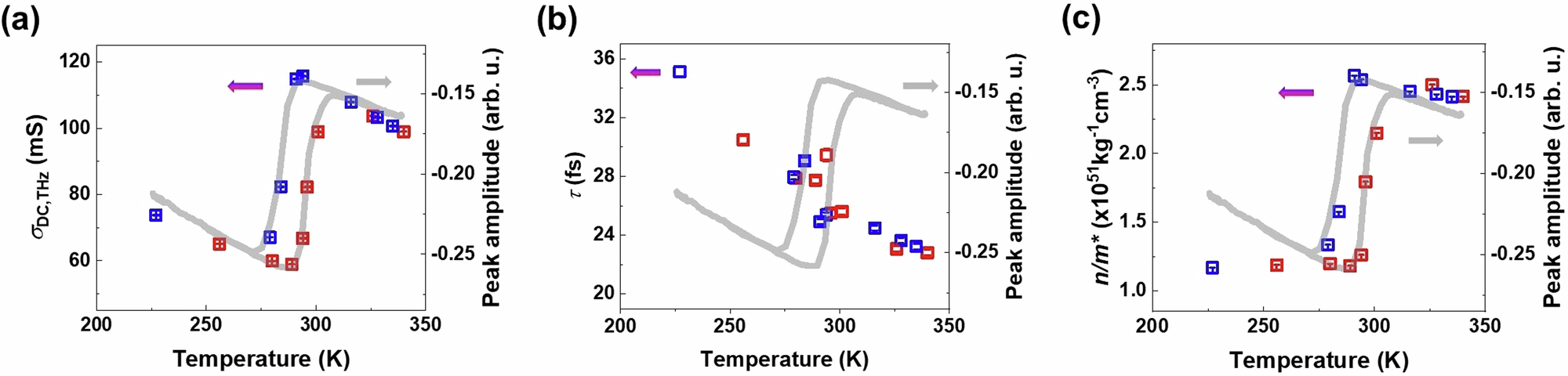
Fig. 3: Temperature-dependent intrinsic and extrinsic transport parameters probed by THz-TDS.
From: Unraveling the origin of conductivity change in Co-doped FeRh phase transition

Temperature-dependent negative pulse peak amplitude (gray line) obtained from Fig. 1d, compared with (a) the DC sheet conductivity \({{\mathrm{Re}}}\left[{\widetilde{\sigma }}_{S}\left(0\right)\right]\equiv {\sigma }_{{DC}}\) (b) extrinsic contribution, τ and (c) intrinsic contribution, \(n/{m}^{* }\) obtained by analyzing complex THz conductivity based on the Drude model. Cooling data are represented in blue, while heating data are shown in red.