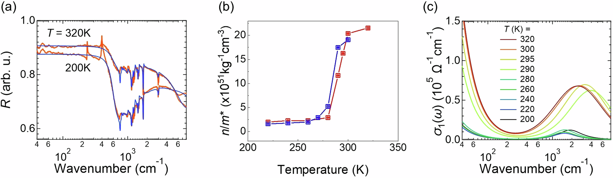
Fig. 5: Infrared spectroscopy of FeRh.
From: Unraveling the origin of conductivity change in Co-doped FeRh phase transition

a Infrared (IR) reflectivity spectra at the lowest (T = 200 K) and highest (T = 320 K) temperatures, respectively. Note that the observed phonon peaks at 250 and 400 cm−1 are excluded. b Temperature-dependent n/m*. c Real part of optical conductivity spectra, σ1(ω), of FeRh obtained from the IR spectroscopy.