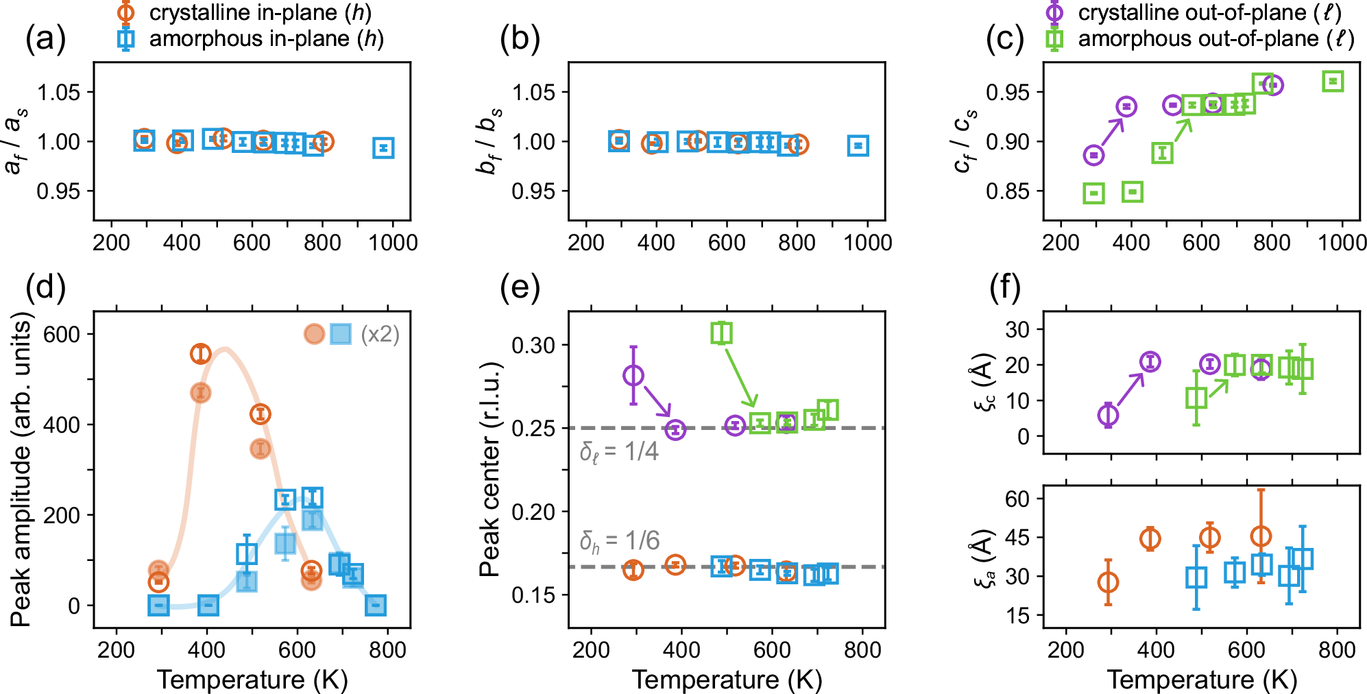
Fig. 3: Temperature and capping layer dependence of the superlattice structure.
From: Discovery of giant unit-cell super-structure in the infinite-layer nickelate PrNiO2+x

a–c PrNiO2+x thin film lattice constants zf—normalized to the (approximately constant) SrTiO3 substrate lattice constants zs, with z = a, b, c for films with crystalline and amorphous capping layers. d Peak amplitude versus temperature of selected reflections Qo = (1/6, 1/2, 7/4) (filled markers) and Qo = (1/3, 1, 7/4) (empty markers) for films with crystalline and amorphous SrTiO3 capping. Amplitude of Qo = (1/6, 1/2, 7/4) has been scaled by a factor of two. Solid lines are guides to the eye. e In-plane δh and out-of-plane δℓ commensuration plotted versus temperature. (f) In-plane ξa and out-of-plane ξc correlation lengths versus temperature. Data in (e) and (f) is averaged over the two reflections separately for crystalline and amorphous capping. Error bars represent one standard deviation obtained from a least squares fitting procedure.