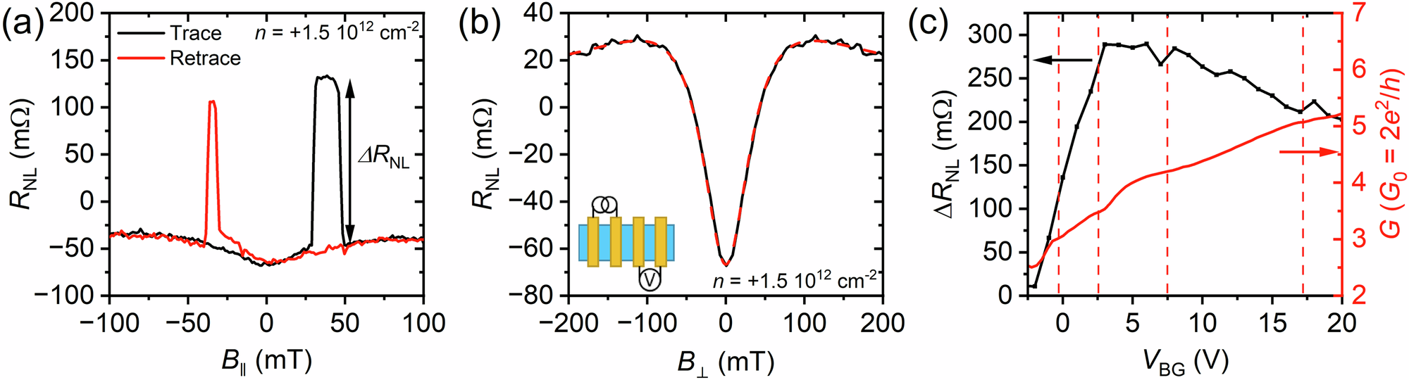
Fig. 3: Spin transport, device D1.
From: Spin polarised quantised transport via one-dimensional nanowire-graphene contacts

a Spin valve, at a channel density of n = 1.5 × 1012 cm−2, taken by sweeping magnetic field along the easy axis of the contacts. Trace implies B is swept from negative to positive, while retrace implies the opposite direction. The magnitude of the spin signal, ΔRNL, is indicated by the black arrow. b Hanle spin precession measurement, at a channel density of n = 1.5 × 1012 cm−2, taken by sweeping a magnetic field out of the plane. The line shape signifies spin moments have almost fully precessed within 200 mT. Dashed red line indicates a fit to the data using the solutions to the 1D Bloch equation. Inset shows schematic of non-local configuration used for spin transport measurements. c Evolution of ΔRNL with increasing VBG (black line, left axis), superimposed with conductance through the injector (red line, right axis), for electron transport only. Dotted red lines indicate plateaus in the conductance that correspond to energy subbands.