Fig. 3: SDW features in the band structure.
From: Evidence of spin and charge density waves in Chromium electronic bands

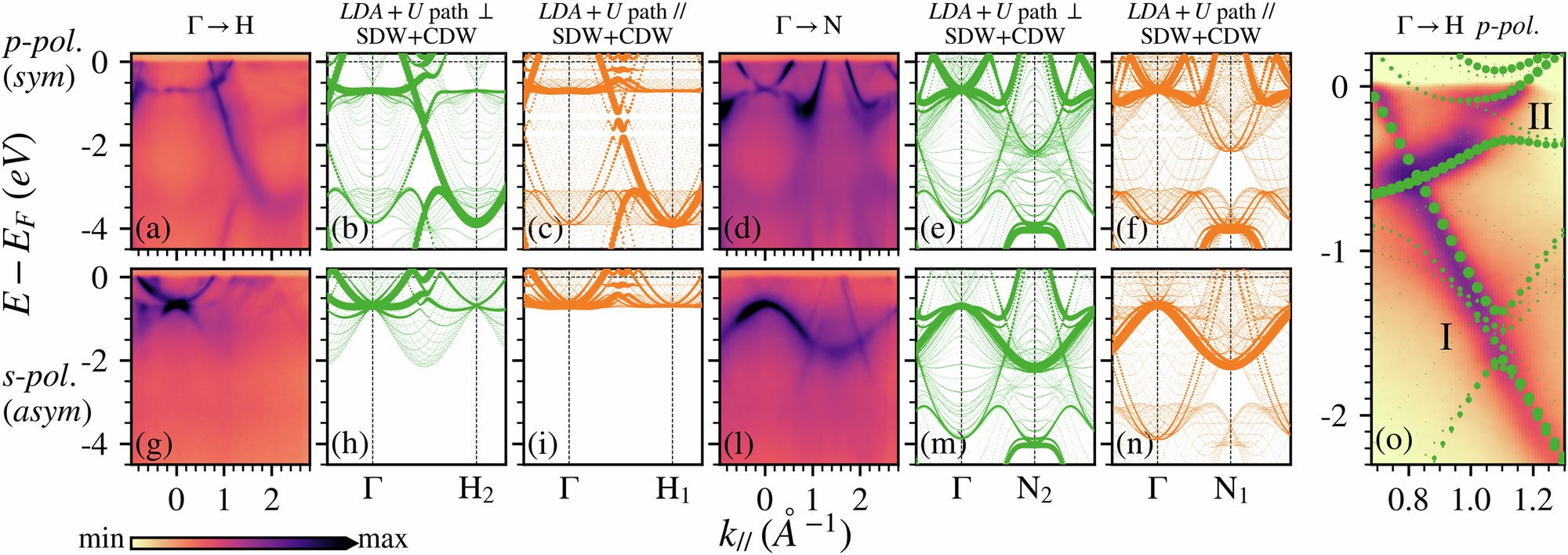
(a, d) and (g, l) panels show the band structures along the different directions in the reciprocal space probed using 638 eV photons with p(s)-polarization, respectively. Panels (b, c, e, f, h, i, m, n) show the unfolded LDA+U band structures for a 21 unit cell SDW system. In order to obtain a M = 0.6μB maximum magnetization of the SDW, U = 0.13 eV was adopted. (b, e, h, m) and (c, f, i, n) panels show the band structures obtained along a path that is orthogonal (parallel) to the SDW propagation direction: green (yellow) triangle in Fig. 1c. o shows a zoom of the ARPES data from (a), combined with the band structure of (b), to highlight the gaps present along the Γ-H direction. The bands have been decomposed according to their symmetry. A rigid shift of +0.2 eV was adopted. The experimental data in (a, d, g, l) are reported using a square root color scale, in (o) a linear color scale has been adopted instead.