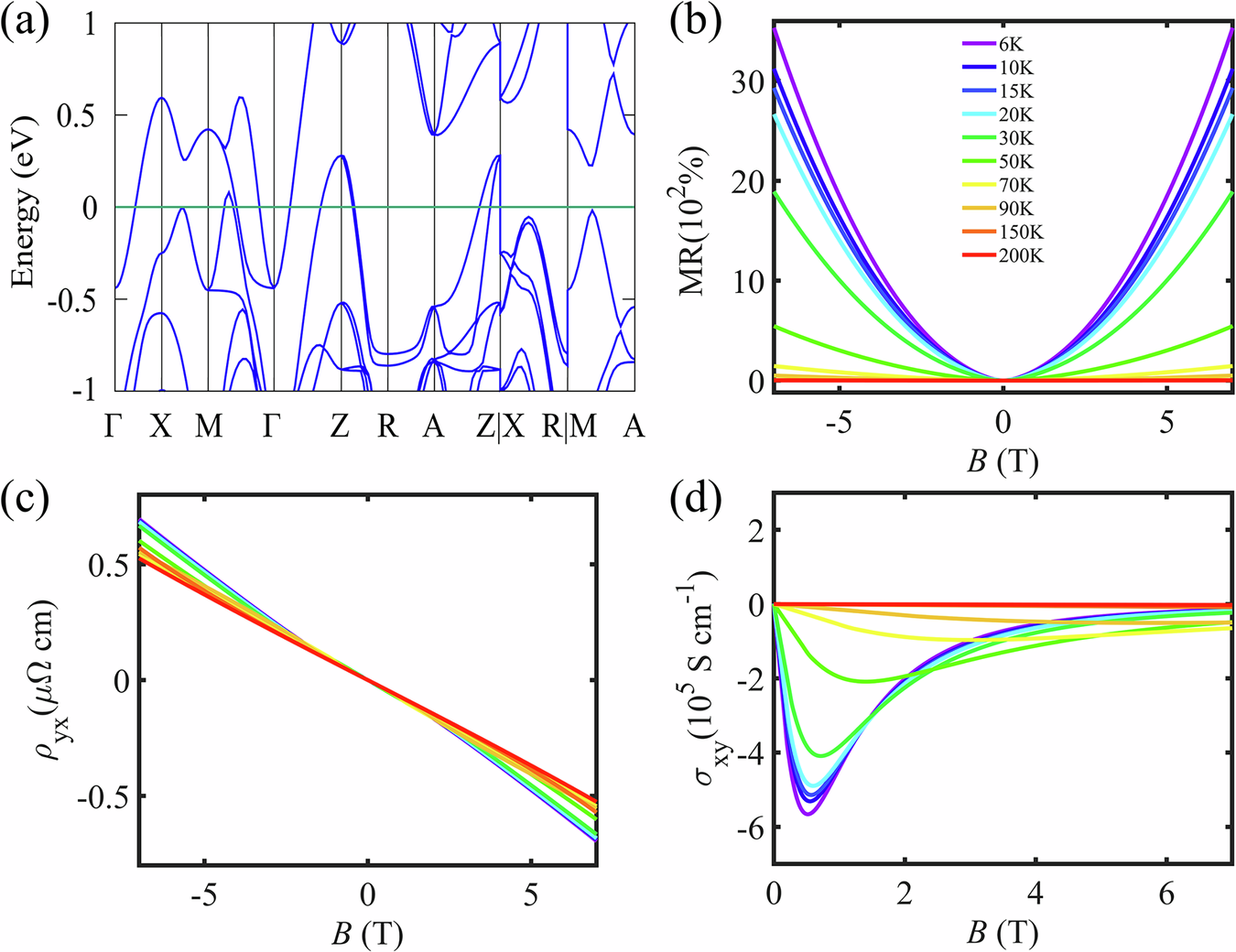
Fig. 4: Calculation results with considering AFM order.
From: Universal scaling behavior of transport properties in non-magnetic RuO2

a Band structure with SOC for U = 2.0 eV. b–d Calculated MR, ρyx, σxy, as a function of magnetic fields at various temperatures, respectively.