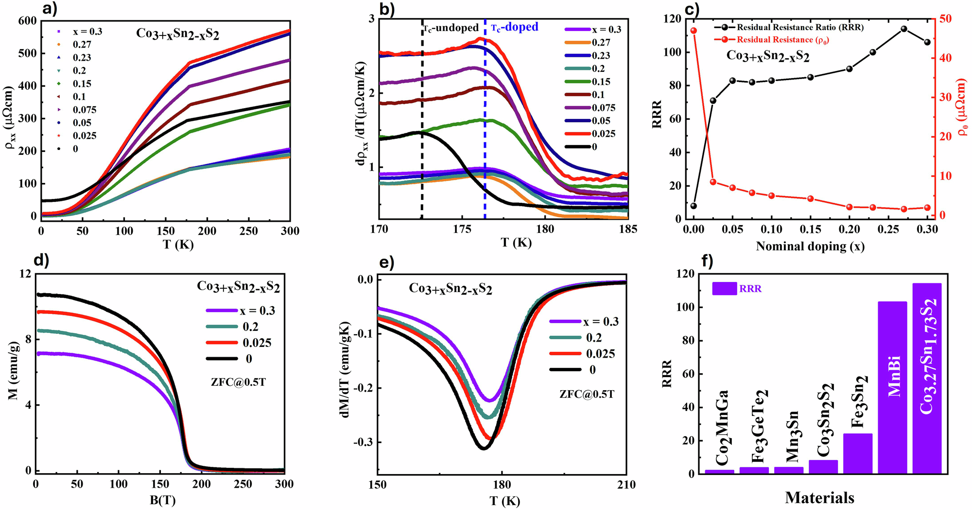
Fig. 2: Resistivity-temperature (ρ-T) and magnetization-temperature (M-T) measurements.

(a) The resistivity measurements are performed over 300 K to 2 K for all samples, revealing metallic behavior across the entire span. A distinct kink is observed in the resistivity curves around 171–180 K, indicating a characteristic phase transition. To further analyze this transition, the derivative of resistivity with respect to temperature (dρxx/dT) is plotted against T (b), clearly identifying the Curie temperature (Tc) of each sample. The results indicate a slight improvement in Tc for the doped samples compared to the pristine ones, suggesting that doping subtly influences the magnetic interactions while preserving the metallic nature of the material. c The residual resistance ratio (RRR) and residual resistivity, RR, (ρ0) are plotted as a function of nominal doping (x) for all samples. The observed trend shows that RRR increases while ρ0 decreases with increasing doping concentration. This behavior suggests an enhancement in crystalline quality with doping, likely due to a reduction in structural defects and scattering centers. d The magnetization measurements are performed in zero field cooling (ZFC) mode, where data are taken by applying a magnetic field of 0.5 T while warming from 2 K to 300 K (the data are presented after subtracting the linear background above Tc). A clear paramagnetic to ferromagnetic transition can be seen around 171–180 K for all samples. The dM/dT vs T, (e) indicates a slight improvement in Tc for the doped samples compared to the pristine, as observed in ρ–T. f The comparison of the RRR of some topological ferromagnetic materials with that of x = 0.27 indicates good crystalline quality among them.