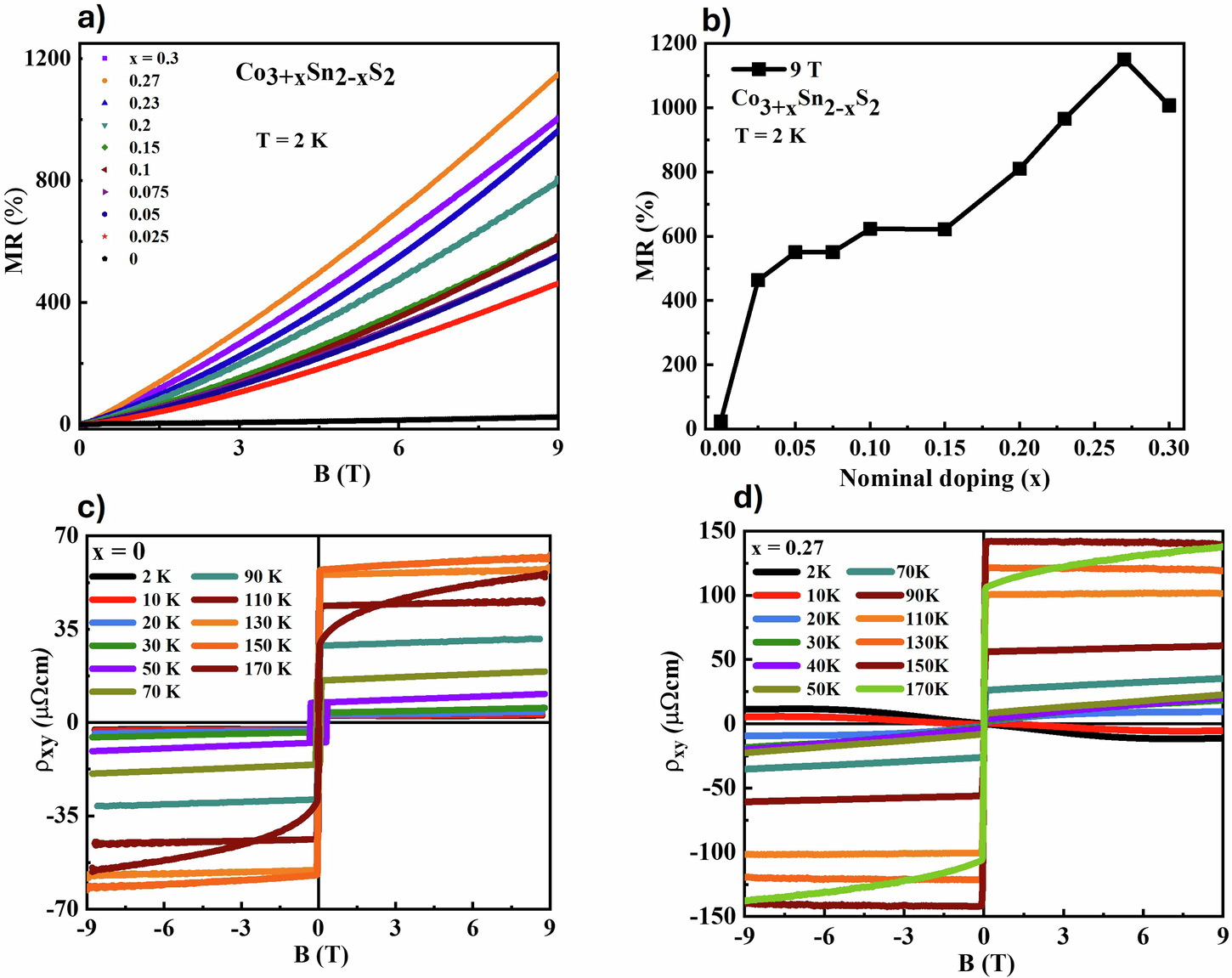
Fig. 4: MR and Hall measurement.

(a) MR for all samples at 2 K up to magnetic field 9 T (b) MR for all samples at 9 T and 2 K, indicating enhancement of MR with non-stoichiometric doping, x. c, d Hall resistivity as a function of magnetic field (B) for x = 0 and 0.27 below Curie Temperature (Tc), respectively. Well-defined anomalous Hall effect for doped samples, like in the pristine sample below Tc, suggests the ferromagnetic ordering and intrinsic behavior is largely preserved upon doping.