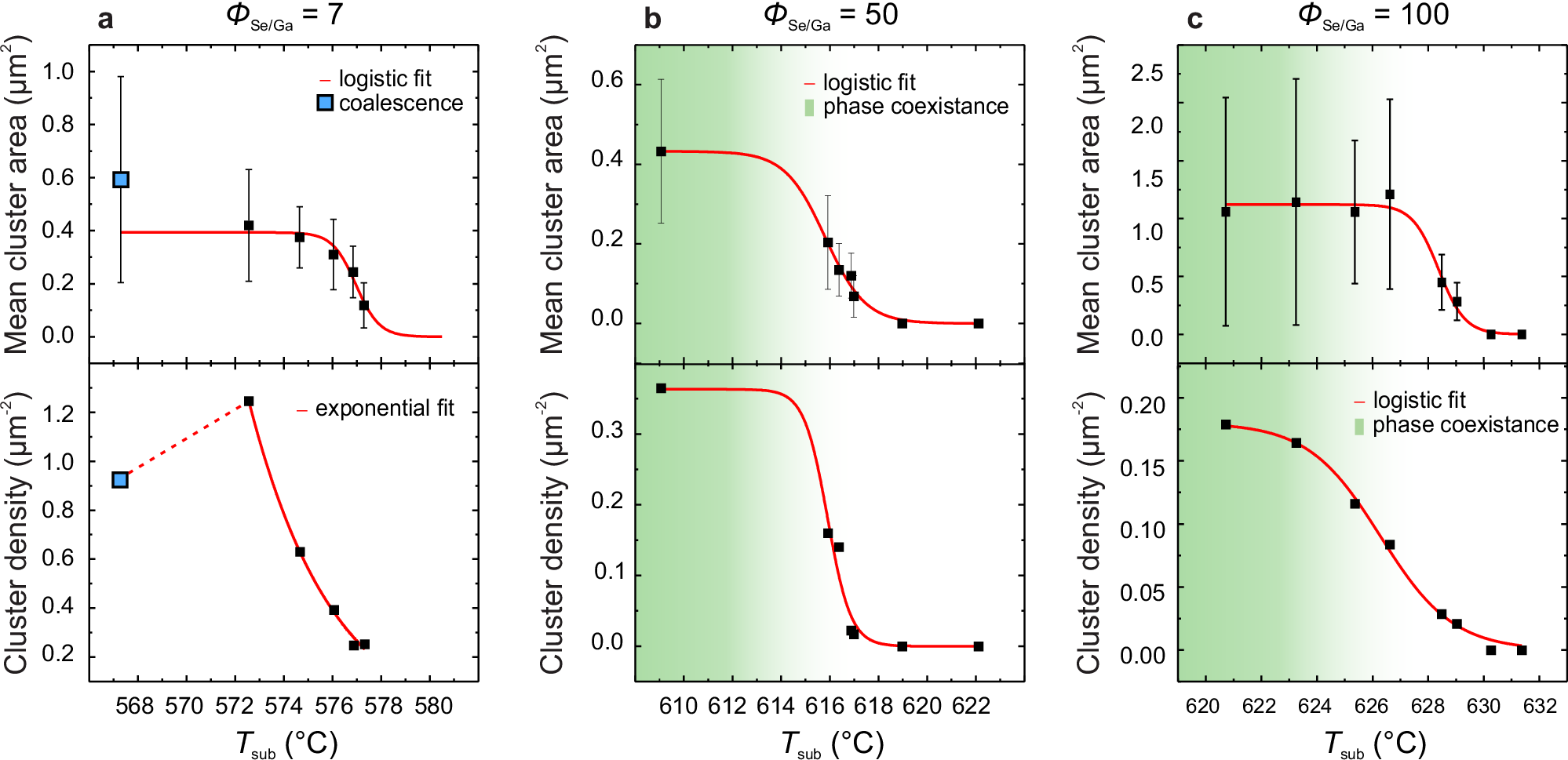
Fig. 2: Footprint area and density of clusters.

Cluster footprint area (top row) and density (bottom row) extracted from SEM images are shown as a function of Tsub for three ΦSe/Ga (from left to right: 7, 50, and 100). In (a), clusters primarily consist of Ga droplets and coalesce into larger sizes at high densities (light blue marker). In (b, c), clusters are highly selenidized and coexist with the 3D-nanoflakes morphology at lower Tsub (light green region). To determine the onset temperature of cluster formation, the data is fitted (continuous red lines) with logistic functions (exponential in the bottom graph in (a)). Note that the actual onset values are extracted at ΦSe/Ga of 8.3, 34.6, and 78.9 due to the additional Ga flux gradient on the wafer. The error bars in (a–c) indicate the standard deviation of the cluster footprint area.