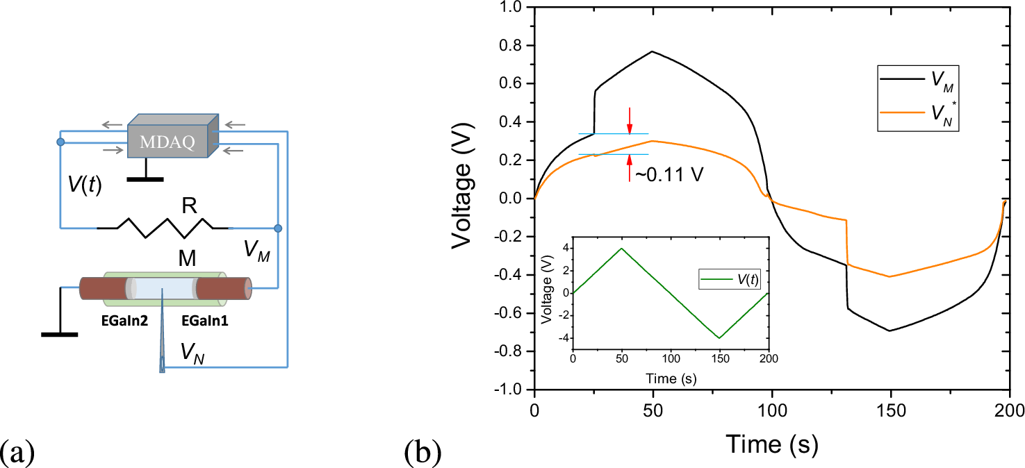
Fig. 3: Three-terminal measurements of a tube memristor.
From: EGaIn tube memristors offering reliable switching on a biological time scale

a The measurement setup. To distinguish the separate contributions of the two electrodes to the signal, a sewing needle (acting as a pseudo-reference electrode) was inserted into the center of the tube. The measurements were performed using a multifunctional data acquisition unit (MDAQ) that was used to apply the driving signal V(t) and read the response signals VM and VN. The arrow’s orientation shows if a signal is an input or an output. b Measured response to a triangular waveform (shown in the inset). Here, \({V}_{N}^{* }\) represents the needle voltage that has been adjusted by the open circuit needle voltage (approximately 1.17 V).