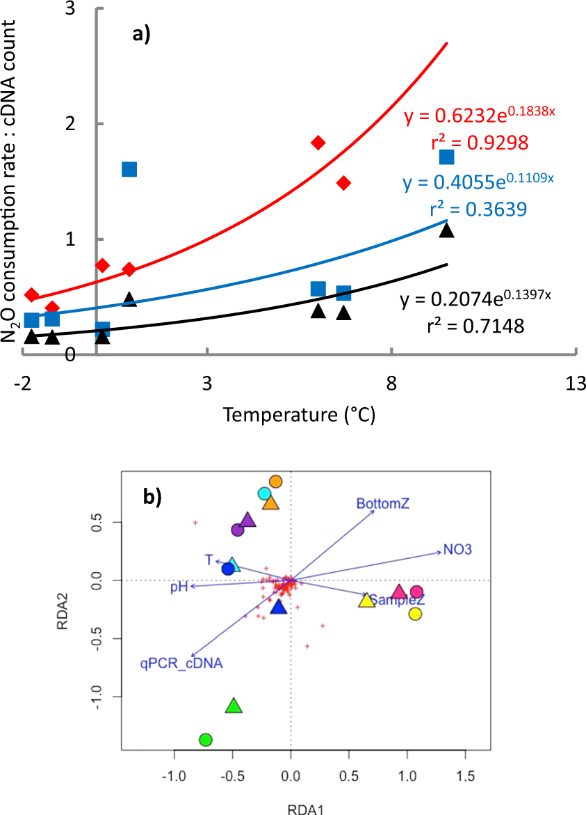
Fig. 3: Relationship between Clade I and Clade II nosZ archetypes and environmental variables for samples collected at the base of surface mixed layer in the North and South Atlantic.
From: Biological nitrous oxide consumption in oxygenated waters of the high latitude Atlantic Ocean

a N2O consumption rate normalised to cDNA count (Red = Clade II, Blue = Clade I, Black = total), b RDA plot showing relationships between environmental variables (T = temperature, BottomZ = water column depth, SampleZ = depth sample collected) and NosZ/WnosZ community compositions based on Archetypes (red cross) from the microarray analysis. Circles = DNA, triangles = cDNA. Green = EO1, orange = EO2, cyan = EO3, blue = EO4, purple = EO5, pink = BO3, yellow = BO4.