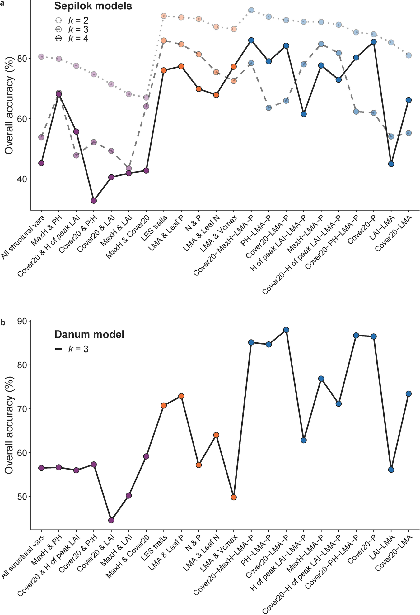
Fig. 5: Trait importance in forest type mapping.

Change in overall accuracy for reduced k-means clustering models using forest structure variables (purple), canopy leaf trait variables (orange), and combinations of structural and leaf trait variables (blue) for k = 2, 3, and 4 for Sepilok and k = 3 for Danum. All results are compared to the full 10-variable k-means clustering analysis for Sepilok (a) and Danum (b). LES traits: leaf economic spectrum traits which include leaf mass per area (LMA), foliar nitrogen (N) and foliar phosphorus (P).