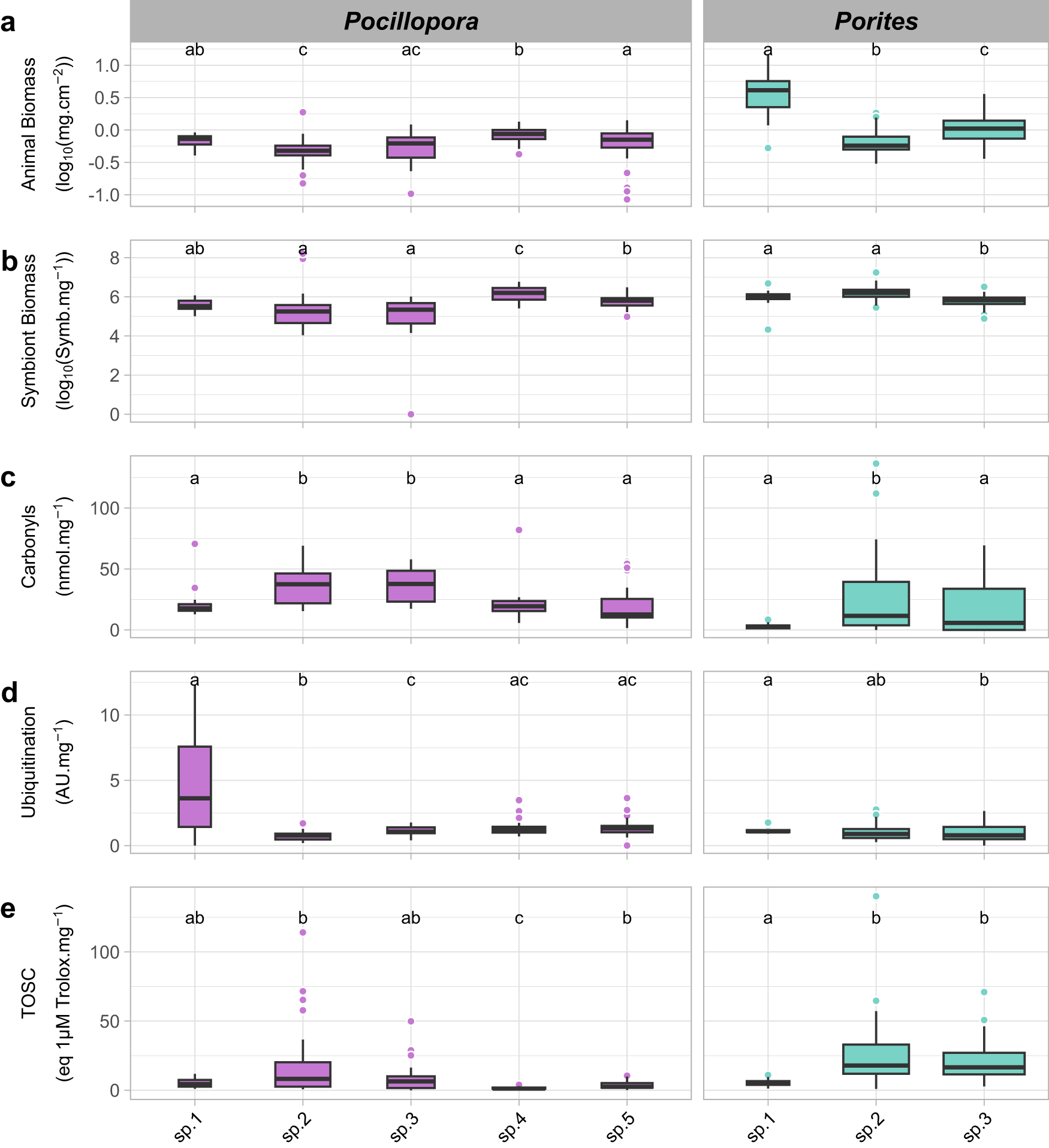
Fig. 2: Biomarker assays of coral colonies in the function of coral species.
From: Different environmental response strategies in sympatric corals from Pacific Islands

Variability of the biomarkers measured among species within Pocillopora (purple-pink) and within Porites (cyan) genera (a) Animal biomass assay. b Symbiont biomass assay (normalised by mg of protein). c Protein carbonylation. d Protein ubiquitination. e Antioxidant capacity. The coral-species attribution is detailed in Table 3. The boxes represent the 1st and the 3rd quartiles around the median (horizontal black bar). Outlier points are plotted individually (dots). Statistically significant differences among the species within the two genera have been tested by a Kruskall–Wallis’ test and a Dunn’s test as post hoc. Identical letters above boxplots indicate no statistically significant differences. Species distributions and lineages are indicated in Supplementary Fig. S6 and Table 3.