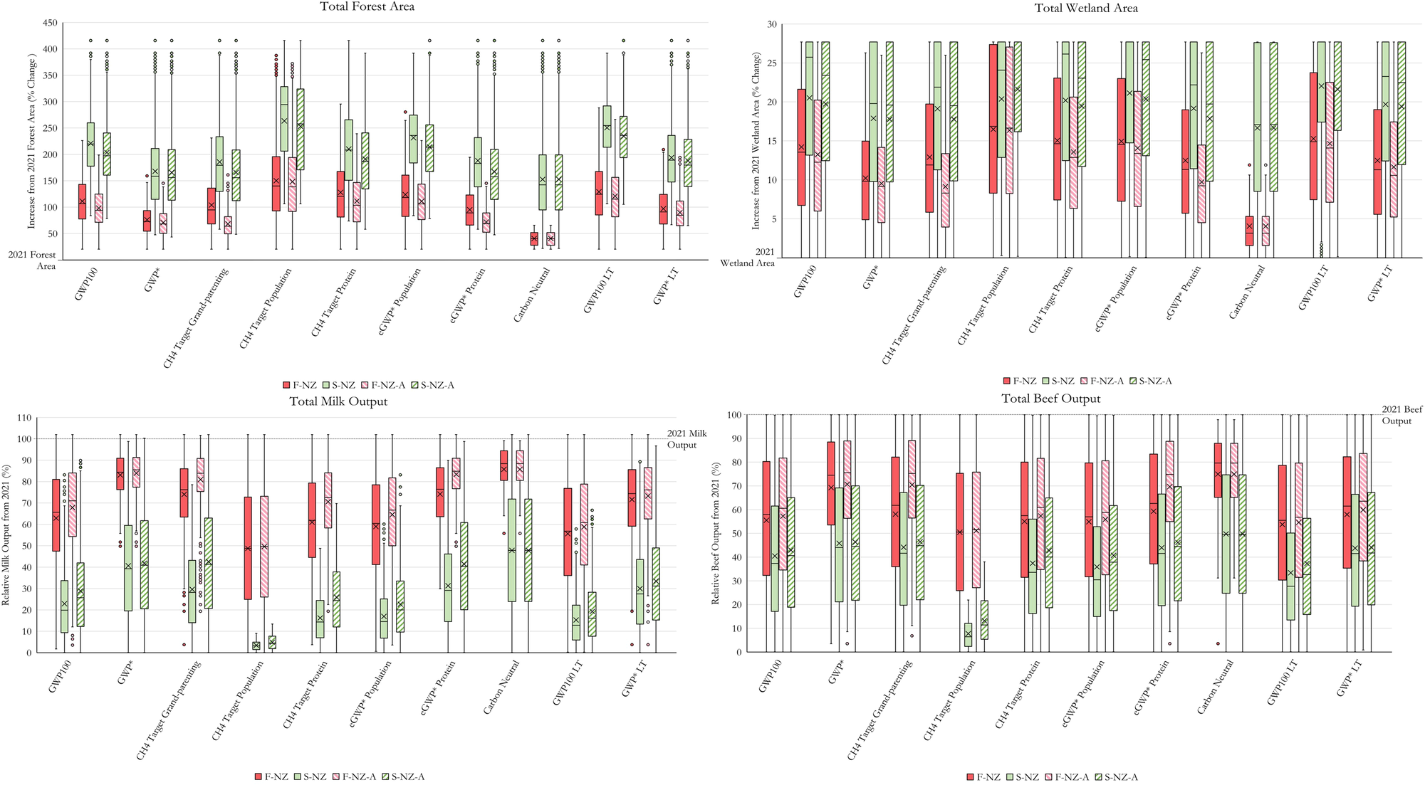
Fig. 2: Total forest and wetland area, and total milk output and suckler beef liveweight output variation generated by the 3000 scenarios that fit within the different definitions of NZ as percentage changes from 2021 values.
From: Defining national net zero goals is critical for food and land use policy

Plots display local minimum, Q1 (25th percentile), median, Q3 (75th percentile), local maximum, and outliers. Outliers are considered when they lie 1.5 times the length of the interquartile range from either end of the box. X within bars: mean value, F-NZ Failed to reach NZ, S-NZ succeeded in reaching NZ, F-NZ-A Abated scenarios which failed to reach NZ, S-NZ-A Abated scenarios which were successful in reaching NZ, Raw data can be found in the supplementary materials.