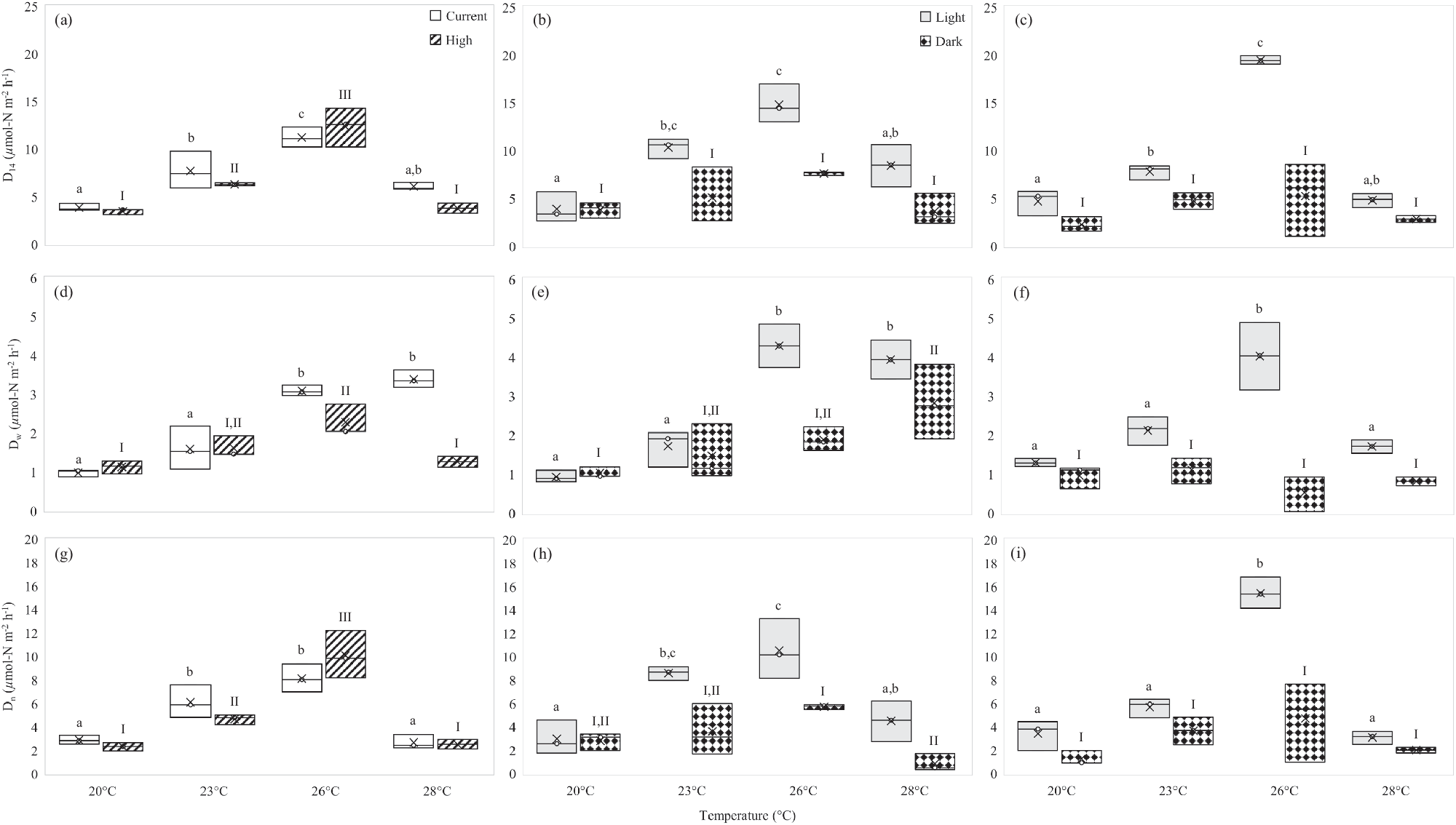
Fig. 1: Effect of temperature on total denitrification (D14), and denitrification of NO3- from the water column (Dw), and from nitrification (Dn) fluxes under current and high-pCO2.

Net diel (a) D14, (d) Dw, and (g) Dn fluxes (µmol-N m−2 h−1), under current-pCO2 (open boxes) and high-pCO2 (hatched boxes) conditions at three temperature offsets from control, 23 °C. Letters identify significantly different means across temperatures under current-pCO2 and numerals identify significantly different means across temperatures under high-pCO2 conditions, where letters or numbers that are the same indicate no significant difference, as determined by a one-way ANOVA and post hoc Tukey’s test. Light and dark fluxes for b/c D14, e/f Dw, and h/i Dn fluxes (µmol-N m−2 h−1) under current/high-pCO2 conditions, respectively. Here, letters identify significantly different means across temperatures in light and numerals identify significantly different means across temperatures in dark cycles, where letters or numerals that are the same indicate no significant difference, as determined by a one-way ANOVA and post hoc Tukey’s test. Statistical details are in Supplementary Tables 4 and 5. All boxes show mean values ‘×’, with the middle horizontal line indicating the exclusive median and the top and bottom edges indicating the start of the upper and lower quartiles, respectively.