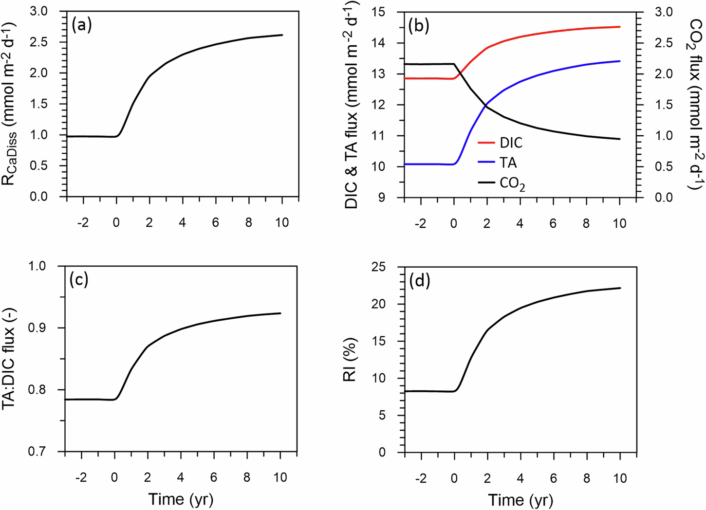
Fig. 3: Modelled rates and fluxes for Boknis Eck sediments.
From: Seafloor alkalinity enhancement as a carbon dioxide removal strategy in the Baltic Sea

a Total calcite dissolution rate, b benthic fluxes of DIC, TA and CO2 from the sediment to the bottom water, c TA:DIC flux ratio, and (d) the respiratory index, RI (carbonate dissolution ÷ POC degradation × 100%) versus time in years relative to the start of artificial calcite addition beginning year zero.