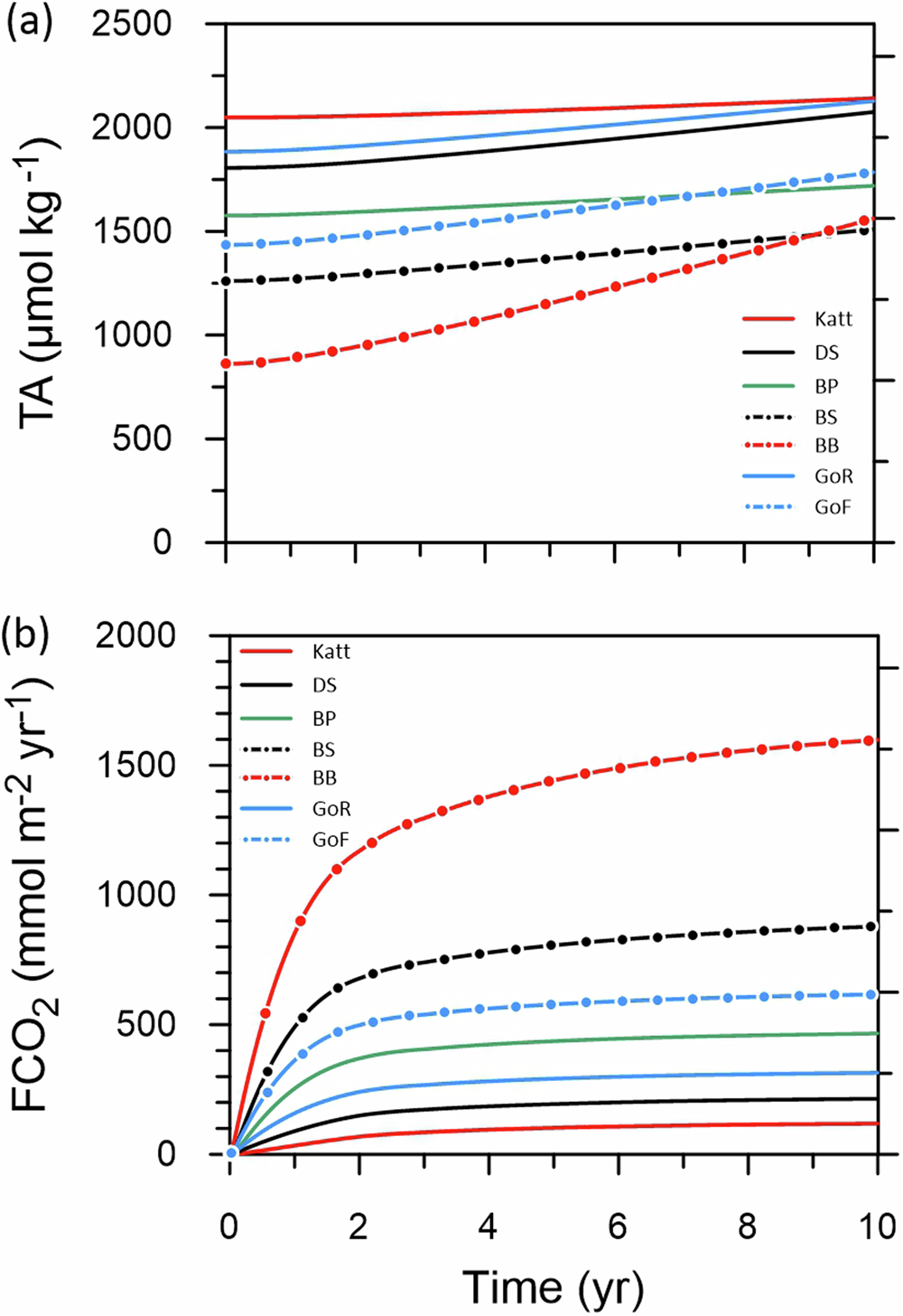
Fig. 6: Water column box model results.
From: Seafloor alkalinity enhancement as a carbon dioxide removal strategy in the Baltic Sea

a Total alkalinity, and (b) CO2 uptake from the atmosphere to the water column for the seven sub-basins of the Baltic Sea shown as time after artificial calcite dissolution. The basin abbreviations in the legend are explained in Table 2.