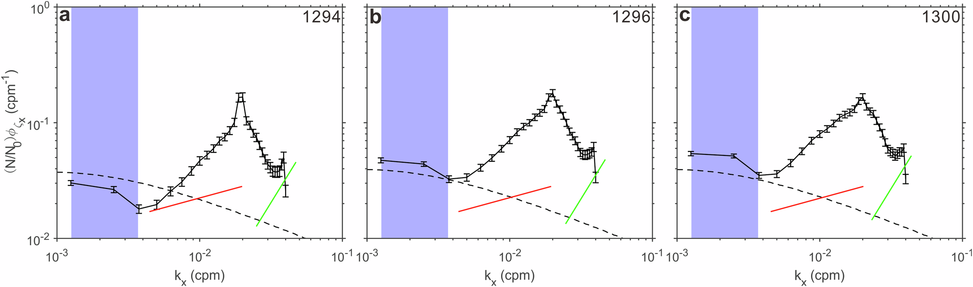
Fig. 8: Mean slope spectra estimated from seismic reflectors.

Panels a–c correspond to seismic lines 1294, 1296, and 1300, respectively. The slope spectra are normalized by N/N0. Vertical short lines indicate the 95% confidence interval of the slope spectra. The red and green lines represent reference slopes for turbulence (1/3) and the noise subranges (2), respectively. The black dashed line represents the GM75 towed spectrum. The purple shading denotes the wavenumber range of the internal wave subrange.