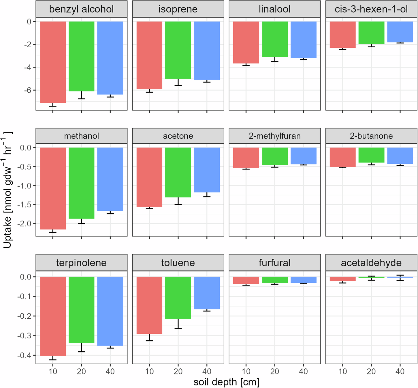
Fig. 2: Soil uptake rates of the 12 target VOCs across different soil depths in active layer soil from Disko Island.

The bars represent the mean ± S.E. (n = 6). Note different y-axis scales for each row. Positive fluxes represent emissions and negative fluxes uptake. Soil depth had no impact on the overall uptake rates of the 12 VOCs (P = 0.344, MANOVA) but it affected the uptake of methanol (P = 0.008, ANOVA).