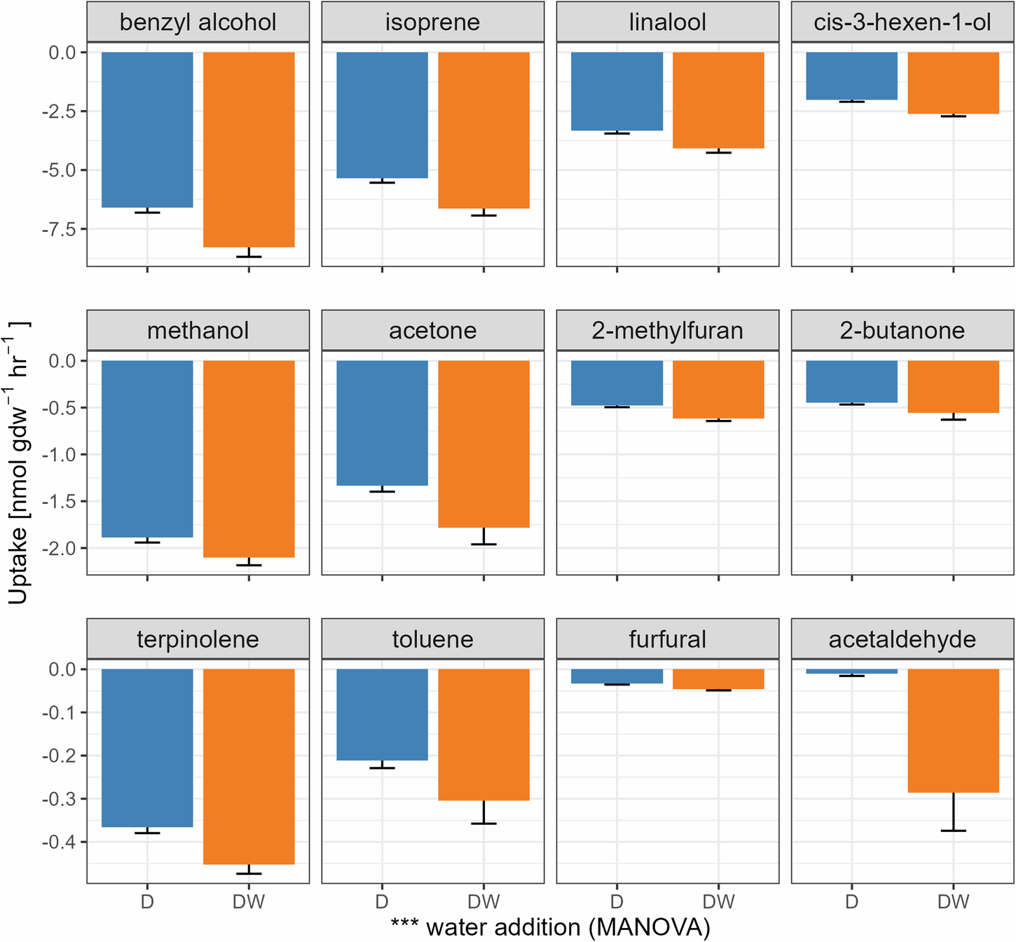
Fig. 4: Comparison between field-moist (D) and moistened (DW) soils from Disko Island in terms of their uptake rates of the 12 target VOCs.

The bars represent the mean ± S.E. (n = 18). Note different y axis scales for each row. Water addition affected the overall uptake rates of the VOCs (*** P < 0.001, MANOVA). Moistened soils generally showed increased uptake rates compared to their field-moist counterparts (all P < 0.05, ANOVA), except for furfural.