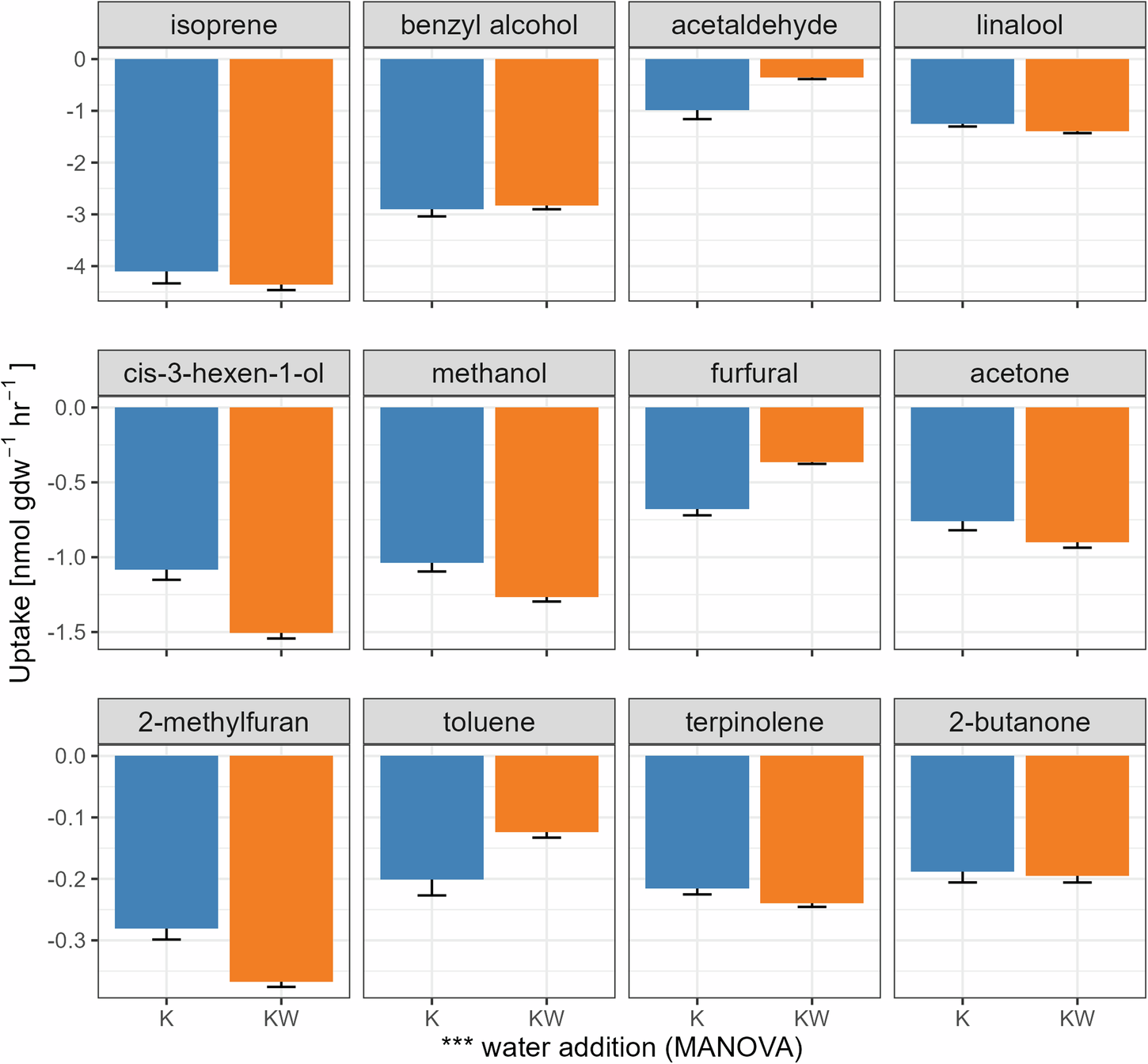
Fig. 5: Comparison between field-moist (K) and moistened (KW) soils from Kangerlussuaq in terms of the uptake rates of the 12 target VOCs.

The bars represent the mean ± S.E. (n = 27). Note different y-axis scales for each row. Water addition affected the overall uptake rates of the VOCs (*** P < 0.001, MANOVA). Moistened soils generally showed increased uptake rates compared to their field-moist counterparts (P < 0.05, ANOVA), except for acetaldehyde, furfural, and toluene, which exhibited opposite trends (all P < 0.05, ANOVA).