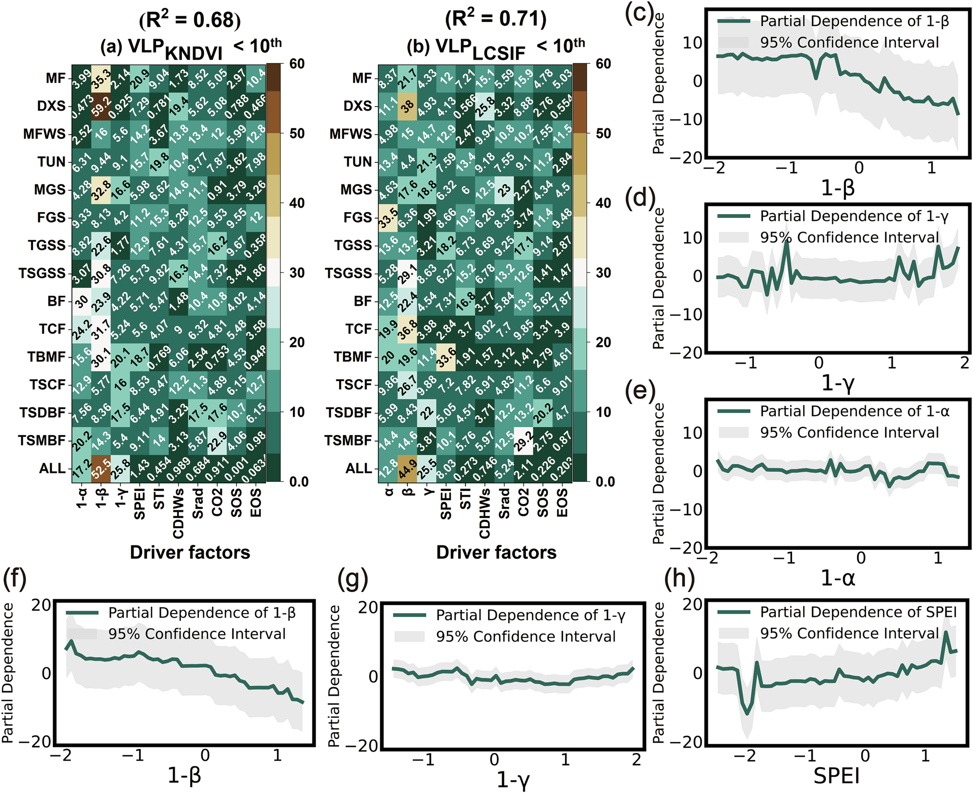
Fig. 3: Drivers of VLP spatial shift velocities at the < 10% quantile under CDHWs across global terrestrial ecosystems.

The longitudinal axis in (a, b) provides abbreviations across different biomes, with their full names provided in Fig. 2 and Supplementary Table 1. The horizontal axis in (a, b) provides abbreviations of drivers. See Supplementary Table 2 for their full names. c–e show partial dependence plots of the top three variables contributing the most to VLPKNDVI. f–h show partial dependence plots of the top three variables contributing the most to VLPLCSIF. The horizontal axis of (c–f) represents standardized driving variables using z-score methods. The horizontal axis in (c–g) of “1-α”, “1-β”, and “1-γ” represents resilience and resistance to drought, and resistance to temperature, respectively. Higher values of “1−α” indicate greater resilience in terrestrial ecosystems. Higher value of “1−β” and “1−γ” indicate greater resistance to drought and resistance, respectively, to temperature in terrestrial ecosystems (See “Materials and methods”).