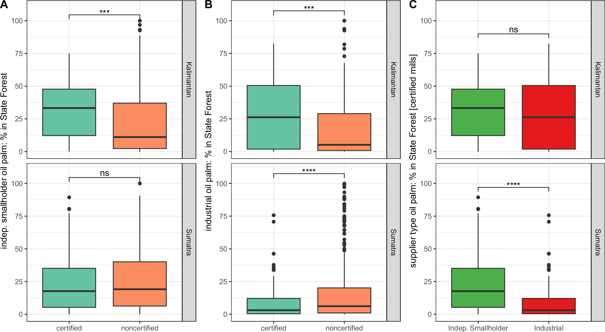
Fig. 6: Comparisons of State Forest overlap with circa 2020 oil palm areas within supply sheds of Roundtable on Sustainable Palm Oil (RSPO) certified and noncertified palm oil mills across Kalimantan and Sumatra, Indonesia.

We show the percentage of: Independent smallholder (A) and industrial (B) oil palm overlap with State Forest across certified (n = 250) versus noncertified (n = 917) mill supply sheds, and (C) independent smallholder versus industrial oil palm overlap with State Forest within certified mill supply sheds. We use a 20 km radius to define the supply shed. The lower and upper hinges represent the first and third quartiles, the upper (lower) whisker extends to the largest (smallest) value no further than 1.5 times the inter-quartile range, the bar represents the median, and the symbol above the bracket denotes the significance level of the p-value (ns = 0.05 ≤ p, * = 0.01 ≤ p < 0.05, ** = 0.001 ≤ p < 0.01, *** = 0.0001 ≤ p < 0.001, **** p < 0.0001) derived from t-tests.