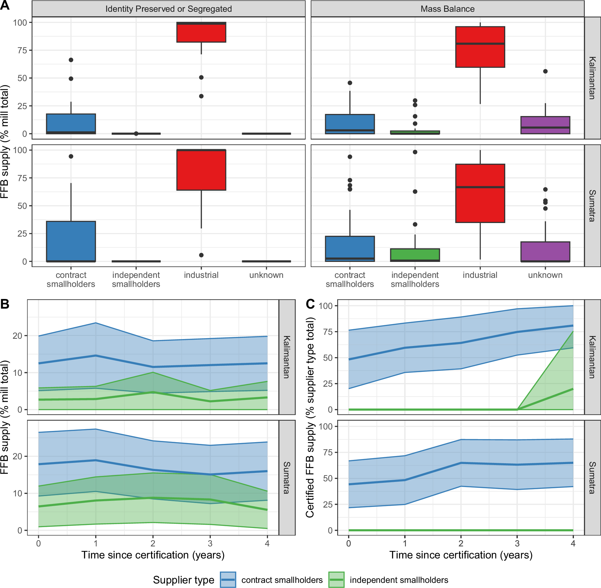
Fig. 7: Oil palm fresh fruit bunch (FFB) supply and Roundtable on Sustainable Palm Oil (RSPO) certification rates for the balanced panel of certified palm oil mills across Sumatra and Kalimantan, Indonesia.

A FFB supply for all balanced panel mill-years with a known supply chain certification model (i.e., Identify Preserved or Segregated; Mass Balance) displayed by supplier type (i.e., industrial producers, contract smallholders, independent smallholders, supplier type unknown). For contract and independent smallholders from initial certification (year 0) to year 4, B percentage of annual per-mill total FFB supply by supplier type and C percentage of annual per-mill supplier FFB certified. Further details on certification can be found in Supplementary Note 1. In A, the lower and upper hinges represent the first and third quartiles, the upper (lower) whisker extends to the largest (smallest) value no further than 1.5 times the inter-quartile range, the bar represents the median. In B, C, the center line represents the mean value, while shaded areas represent 95% confidence intervals.