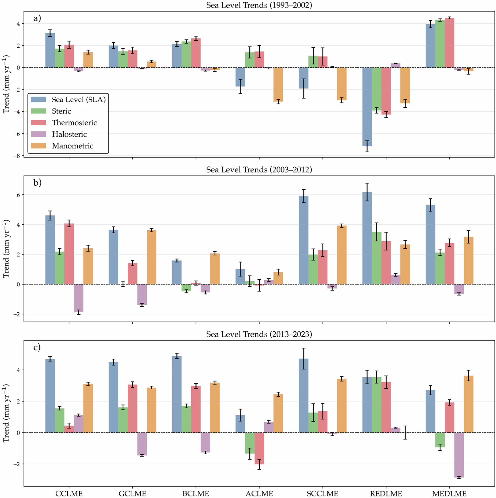
Fig. 9: Decadal sea level budgets across African LMEs.
From: Accelerating sea level rise in Africa and its large marine ecosystems since the 1990s

Histograms of decadal sea-level budgets for a 1993–2002, b 2003–2012, and c 2013–2023 across Africa’s LMEs.