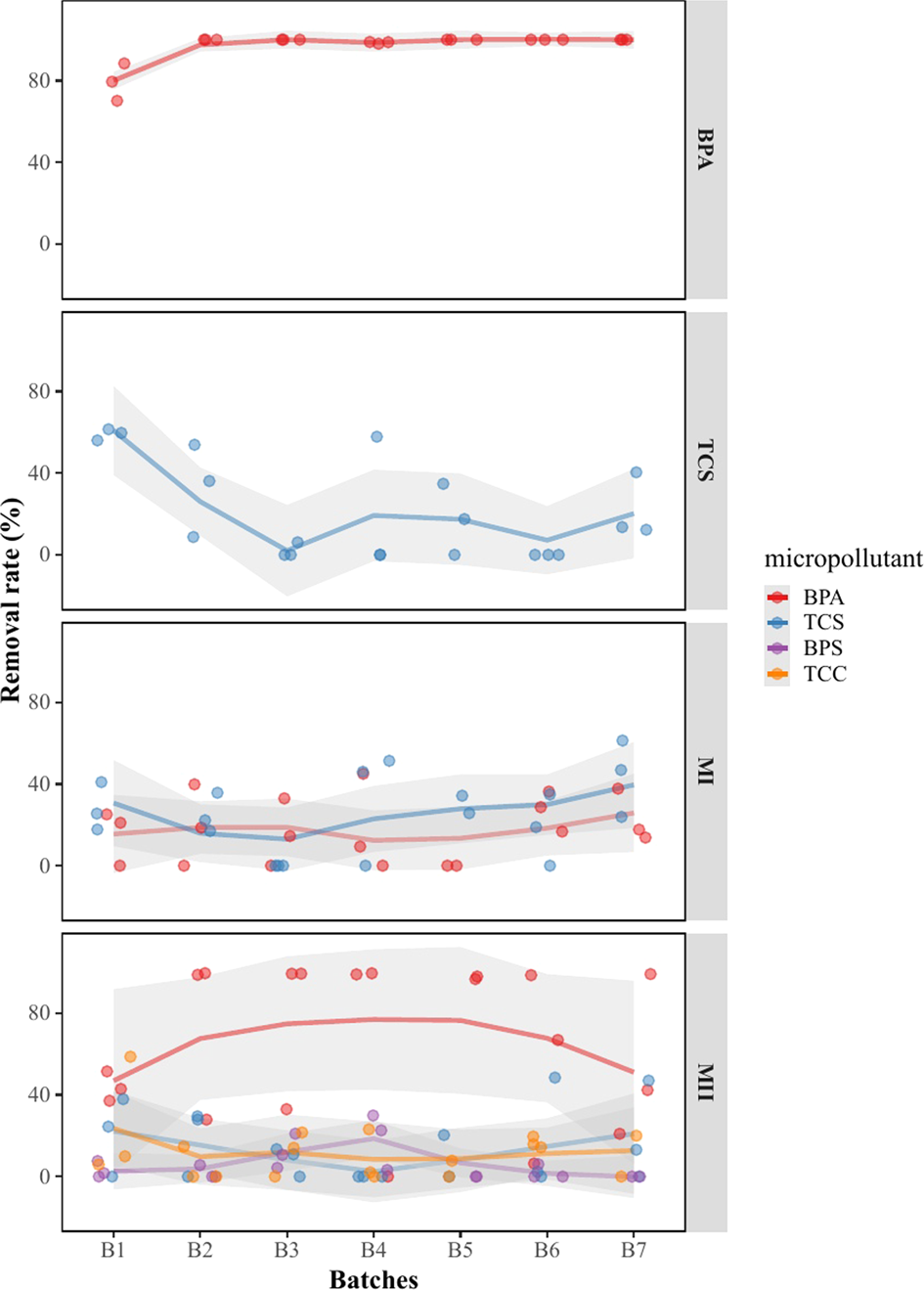
Fig. 2: Percent removal of bisphenol A (BPA), triclosan (TCS), bisphenol S (BPS), and triclocarbon (TCC) in all microcosm batches for the single-micropollutant (BPA and TCA) treatments and in the mixed-micropollutant (MI and MII) treatments.

Removal was defined as the decrease in the concentration of the chemical relative to the total concentration within each batch of microcosms. “B1-B7” represent the number of microcosm batch that corresponds to every 5-day inoculation.