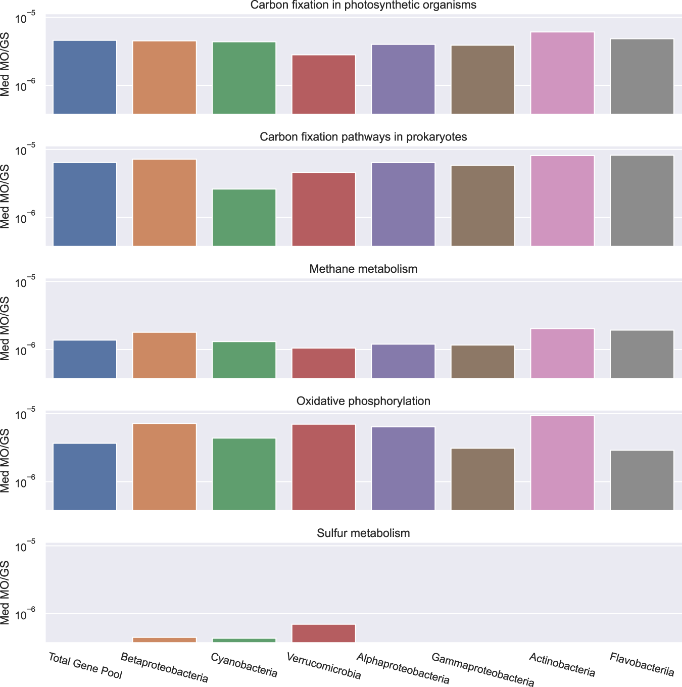
Fig. 8: Median metabolic overlap of the KEGG energy metabolisms modules calculated for the total community and the dominant classes.

KEGG energy metabolism modules with a median metabolic overlap of 0 in the total gene pool and the classes examined are not shown.